【药物名称】Tizanidine hydrochloride, DS-103282 ch, AN-021A, DS-103282, Zanaflex, Ternelin, Sirdalud
化学结构式(Chemical Structure):
参考文献No.199333
标题:DS-103-282
作者:Unterhalt, B.
来源:Drugs Fut 1980,5(1),27
合成路线图解说明:

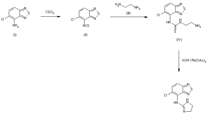
4-Amino-5-chloro-2,1,3-benzothiadiazole (I) is reacted with CSCl2 to 5-chloro-4-isothiocyano-2,1,3-benzothiadiazole (II), which gives 4-[3-(2-aminoethyl)-2-thioureido]-5-chloro-2,1,3-benzothiadiazole (IV) with 1,2-diaminoethane (III). Cyclization in methanol in the presence of KOH/Pb(OAc)2 leads after 1 h at reflux to DS 103-282.

参考文献No.700895
标题:4-(2-Imidazolin-2-ylamino)-2,1,3-benzothiadizoles
作者:Neumann, P.; et al.
来源:CH 579565
合成路线图解说明:

4-Amino-5-chloro-2,1,3-benzothiadiazole (I) is reacted with CSCl2 to 5-chloro-4-isothiocyano-2,1,3-benzothiadiazole (II), which gives 4-[3-(2-aminoethyl)-2-thioureido]-5-chloro-2,1,3-benzothiadiazole (IV) with 1,2-diaminoethane (III). Cyclization in methanol in the presence of KOH/Pb(OAc)2 leads after 1 h at reflux to DS 103-282.

参考文献No.700896
标题:
作者:Becher, W.
来源:Private Communication 2002,Abst 1520
合成路线图解说明:

4-Amino-5-chloro-2,1,3-benzothiadiazole (I) is reacted with CSCl2 to 5-chloro-4-isothiocyano-2,1,3-benzothiadiazole (II), which gives 4-[3-(2-aminoethyl)-2-thioureido]-5-chloro-2,1,3-benzothiadiazole (IV) with 1,2-diaminoethane (III). Cyclization in methanol in the presence of KOH/Pb(OAc)2 leads after 1 h at reflux to DS 103-282.

Drug Information Express,Drug R&D,Chemical Database,Patent Search.
Copyright © 2006-2026 Drug Future. All rights reserved.Contact Us