【药物名称】Midazolam maleate, Ro-21-3981/003(HCl), Ro-21-3981/001, Versed, Hypnovel, Dormicum
化学结构式(Chemical Structure):
参考文献No.46862
标题:Process for the preparation of midazolam
作者:Bhatia, A.V.; Dhaon, M.K.; Davis, D.A.; Esser, G.L. (Abbott Laboratories Inc.)
来源:WO 0102402
合成路线图解说明:

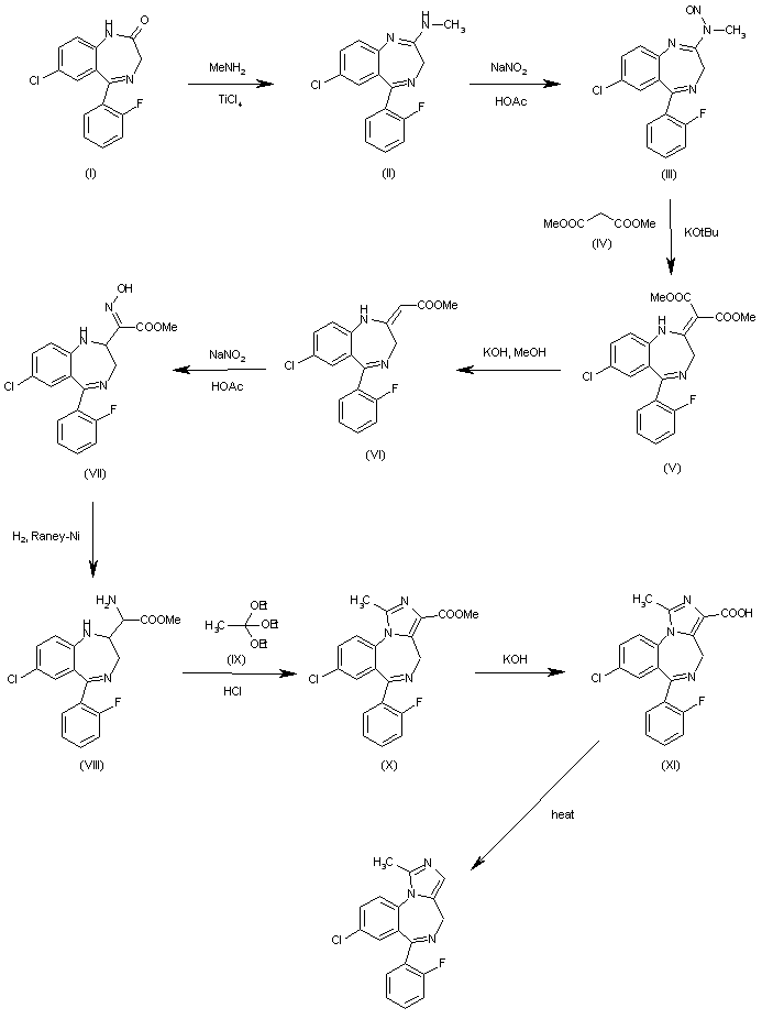
The reaction of 7-chloro-5-(2-fluorophenyl)-2,3-dihydro-1H-1,4-benzodiazepin-2-one (I) with methylamine by means of TiCl4 in refluxing benzene gives 7-chloro-5-(2-fluorophenyl)-2-(methylamino)-3H-1,4-benzodiazepine (II), which is treated with NaNO2 and HOAc to yield the nitroso derivative (III). The condensation of (III) with dimethyl malonate (IV) by means of potassium tert-butoxide in DMF affords 2-[7-chloro-5-(2-fluorophenyl)-2,3-dihydro-1H-1,4-benzodiazepin-2-ylidene]malonic acid dimethyl ester (V), which is monodecarboxylated with KOH in refluxing methanol, providing the corresponding acetate (VI). The reaction of (VI) with NaNO2 and HOAc gives the hydroxyimino derivative (VII), which is reduced with H2 over RaNi in hot methanol to provide the expected amino derivative (VIII). The cyclization of (VIII) with triethyl orthoacetate (IX) and HCl in refluxing ethanol affords 8-chloro-6-(2-fluorophenyl)-4H-imidazo[1,5-a][1,4]benzodiazepine-3-carboxylic acid methyl ester (X), which is hydrolyzed with KOH in refluxing methanol/water to provide the corresponding free acid (XI). Finally, this compound is decarboxylated by heating in refluxing ethyleneglycol to give the target compound along with some 6H-isomer that is separated by chromatography. Alternatively, the decarboxylation of (XI) can also be performed in mineral oil at 230 C to obtain a better yield of the target compound.

参考文献No.48434
标题:Process for the preparation of diazepine derivs.
作者:Walser, A.; Fryer, R.I. (F. Hoffmann-La Roche AG)
来源:DE 2609486; GB 1549836
合成路线图解说明:

The reaction of 7-chloro-5-(2-fluorophenyl)-2,3-dihydro-1H-1,4-benzodiazepin-2-one (I) with methylamine by means of TiCl4 in refluxing benzene gives 7-chloro-5-(2-fluorophenyl)-2-(methylamino)-3H-1,4-benzodiazepine (II), which is treated with NaNO2 and HOAc to yield the nitroso derivative (III). The condensation of (III) with dimethyl malonate (IV) by means of potassium tert-butoxide in DMF affords 2-[7-chloro-5-(2-fluorophenyl)-2,3-dihydro-1H-1,4-benzodiazepin-2-ylidene]malonic acid dimethyl ester (V), which is monodecarboxylated with KOH in refluxing methanol, providing the corresponding acetate (VI). The reaction of (VI) with NaNO2 and HOAc gives the hydroxyimino derivative (VII), which is reduced with H2 over RaNi in hot methanol to provide the expected amino derivative (VIII). The cyclization of (VIII) with triethyl orthoacetate (IX) and HCl in refluxing ethanol affords 8-chloro-6-(2-fluorophenyl)-4H-imidazo[1,5-a][1,4]benzodiazepine-3-carboxylic acid methyl ester (X), which is hydrolyzed with KOH in refluxing methanol/water to provide the corresponding free acid (XI). Finally, this compound is decarboxylated by heating in refluxing ethyleneglycol to give the target compound along with some 6H-isomer that is separated by chromatography. Alternatively, the decarboxylation of (XI) can also be performed in mineral oil at 230 C to obtain a better yield of the target compound.

参考文献No.51432
标题:Process for the preparation of midazolam
作者:Dhaon, M.K. (Abbott Laboratories Inc.)
来源:WO 0170744
合成路线图解说明:

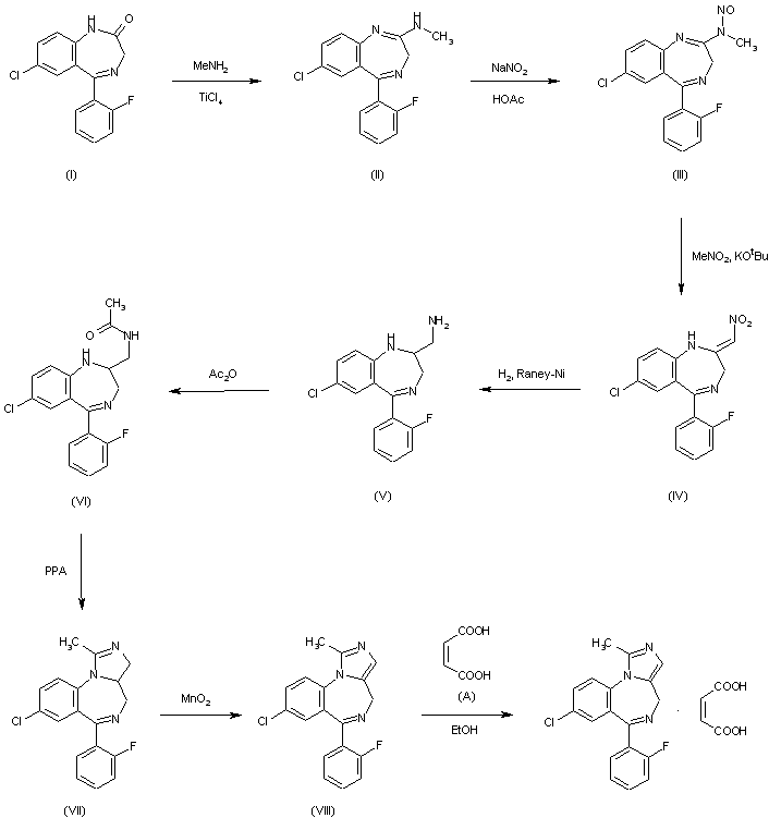
The reaction of 7-chloro-5-(2-fluorophenyl)-1,3-dihydro-2H-1,4-benzodiazepin-2-one (I) with methylamine by means of TiCl4 in refluxing benzene gives 7-chloro-5-(2-fluorophenyl)-2-methylamino-3H-1,4-benzodiazepine (II), which by reaction with NaNO2 in acetic acid is converted into its N-nitroso derivative (III). The treatment of (III) with nitromethane and potassium tert-butoxide in DMF affords 7-chloro-5-(2-fluorophenyl)-2-nitromethylene-2H-1,4-benzodiazepine (IV), which is reduced with H2 over Raney-Ni in THF affording the 2-aminomethyl derivative (V).The acetylation of (V) with acetic anhydride in CH2Cl2 gives the acetamide (VI), which is cyclized with polyphosphoric acid at 150 C yielding 8-chloro-3a,4-dihydro-6-(2-fluorophenyl)-1-methyl-4H-imidazo[1,5-a][1,4]benzodiazepine (VII). The deshydrogenation of (VII) with MnO2 in refluxing toluene affords 8-chloro-6-(2-fluorophenyl)-1-methyl-4H-imidazo[1,5-a][1,4]benzodiazepine (VIII), which is finally treated with maleic acid (A) in hot ethanol.

参考文献No.201775
标题:Midazolam Maleate
作者:Thorpe, P.; Casta馿r, J.
来源:Drugs Fut 1978,3(11),822
合成路线图解说明:

The reaction of 7-chloro-5-(2-fluorophenyl)-1,3-dihydro-2H-1,4-benzodiazepin-2-one (I) with methylamine by means of TiCl4 in refluxing benzene gives 7-chloro-5-(2-fluorophenyl)-2-methylamino-3H-1,4-benzodiazepine (II), which by reaction with NaNO2 in acetic acid is converted into its N-nitroso derivative (III). The treatment of (III) with nitromethane and potassium tert-butoxide in DMF affords 7-chloro-5-(2-fluorophenyl)-2-nitromethylene-2H-1,4-benzodiazepine (IV), which is reduced with H2 over Raney-Ni in THF affording the 2-aminomethyl derivative (V).The acetylation of (V) with acetic anhydride in CH2Cl2 gives the acetamide (VI), which is cyclized with polyphosphoric acid at 150 C yielding 8-chloro-3a,4-dihydro-6-(2-fluorophenyl)-1-methyl-4H-imidazo[1,5-a][1,4]benzodiazepine (VII). The deshydrogenation of (VII) with MnO2 in refluxing toluene affords 8-chloro-6-(2-fluorophenyl)-1-methyl-4H-imidazo[1,5-a][1,4]benzodiazepine (VIII), which is finally treated with maleic acid (A) in hot ethanol.

参考文献No.701041
标题:Benzo or heterocyclic fused imidazodiazepines and pharmaceutical compositions containing them
作者:Fryer, R.I.; Walser, A.
来源:BE 0833248; DE 2540522; FR 2303016; GB 1527131; JP 51125099
合成路线图解说明:

The reaction of 7-chloro-5-(2-fluorophenyl)-1,3-dihydro-2H-1,4-benzodiazepin-2-one (I) with methylamine by means of TiCl4 in refluxing benzene gives 7-chloro-5-(2-fluorophenyl)-2-methylamino-3H-1,4-benzodiazepine (II), which by reaction with NaNO2 in acetic acid is converted into its N-nitroso derivative (III). The treatment of (III) with nitromethane and potassium tert-butoxide in DMF affords 7-chloro-5-(2-fluorophenyl)-2-nitromethylene-2H-1,4-benzodiazepine (IV), which is reduced with H2 over Raney-Ni in THF affording the 2-aminomethyl derivative (V).The acetylation of (V) with acetic anhydride in CH2Cl2 gives the acetamide (VI), which is cyclized with polyphosphoric acid at 150 C yielding 8-chloro-3a,4-dihydro-6-(2-fluorophenyl)-1-methyl-4H-imidazo[1,5-a][1,4]benzodiazepine (VII). The deshydrogenation of (VII) with MnO2 in refluxing toluene affords 8-chloro-6-(2-fluorophenyl)-1-methyl-4H-imidazo[1,5-a][1,4]benzodiazepine (VIII), which is finally treated with maleic acid (A) in hot ethanol.

Drug Information Express,Drug R&D,Chemical Database,Patent Search.
Copyright © 2006-2026 Drug Future. All rights reserved.Contact Us