【药物名称】Flutamide, NK-601, NFBA, FTA, Sch-13521, Prostandril, Chimax, Odyne, Eulexine, Eulexin, Drogenil
化学结构式(Chemical Structure):
参考文献No.199330
标题:Flutamide
作者:Thorpe, P.; Casta馿r, J.
来源:Drugs Fut 1976,1(3),108
合成路线图解说明:

By condensation of 4-nitro-3-trifluoromethylaniline (II) with isobutiryl (I) in pyridine.

参考文献No.538546
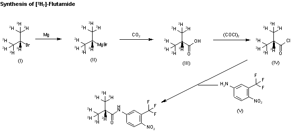
标题:Synthesis of flutamide-d7 and its main metabolite-d6
作者:Passarella, D.; et al.
来源:J Label Compd Radiopharm 1999,42(3),275
合成路线图解说明:

The synthesis of heptadeuterated flutamide has been reported: The reaction of deuterated isopropyl bromide (I) with Mg in THF gives the corresponding Grignard reagent (II), which is treated with CO2 yielding the deuterated isobutyric acid (III). The reaction of (III) with oxalyl chloride affords the expected acyl chloride (IV), which is finally condensed with 4-nitro-3-(trifluoromethyl)aniline (V).

参考文献No.701116
标题:Nouveaux anilides substitu閟 th閞apeutiquement actifs et leurs proc閐閟 de fabrication
作者:Neri, R.O.; et al.
来源:FR 2142803
合成路线图解说明:

By condensation of 4-nitro-3-trifluoromethylaniline (II) with isobutiryl (I) in pyridine.

参考文献No.701117
标题:Substituierte Anilide
作者:Neri, R.O.; et al.
来源:DE 2130450
合成路线图解说明:

By condensation of 4-nitro-3-trifluoromethylaniline (II) with isobutiryl (I) in pyridine.

Drug Information Express,Drug R&D,Chemical Database,Patent Search.
Copyright © 2006-2026 Drug Future. All rights reserved.Contact Us