【药物名称】Elliptinium acetate, NSC-264137, HME, Celiptium
化学结构式(Chemical Structure):
参考文献No.47004
标题:Derivatives of 9-hydroxy-ellipticine and a process fo their preparation
作者:Le Pecq, J.B.; et al. (ANVAR (Agence Natl. Valor. Rech.))
来源:CH 616937; DE 2618223; FR 2308365; GB 1508388
合成路线图解说明:

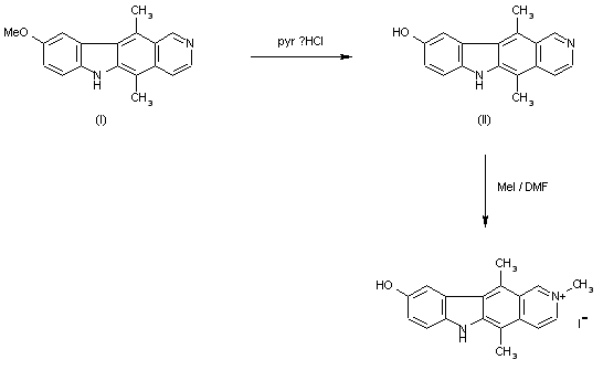
The iodide is formed as follows: 9-Methoxy-ellipticine (I) (extracted from Ochrosia maculata) is demethylated by refluxing with pyridine hydrochloride to give 9-hydroxy-ellipticine (II), which is then treated with methyl iodide in DMF at room temperature.

参考文献No.201780
标题:NSC-264137
作者:Woodman, R.J.
来源:Drugs Fut 1979,4(4),267
合成路线图解说明:

The iodide is formed as follows: 9-Methoxy-ellipticine (I) (extracted from Ochrosia maculata) is demethylated by refluxing with pyridine hydrochloride to give 9-hydroxy-ellipticine (II), which is then treated with methyl iodide in DMF at room temperature.

Drug Information Express,Drug R&D,Chemical Database,Patent Search.
Copyright © 2006-2026 Drug Future. All rights reserved.Contact Us