【药物名称】Ethyl loflazepate, CM-6912, Meilax, Victan
化学结构式(Chemical Structure):
参考文献No.201774
标题:Ethyl Loflazepate
作者:Dubois, M.
来源:Drugs Fut 1981,6(12),772
合成路线图解说明:

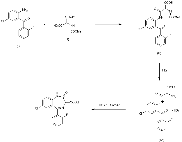
2-Amino-5-chloro-2'-fluorobenzophenone (I) is condensed with monoethyl methoxycarbonyl aminomalonate (II) and the crude product obtained (III) is deprotected by HBr to give the free amine hydrobromide (IV). This product is then cyclized in a mixture of acetic acid-sodium acetate to obtain CM-6912, which is separated by filtration and recrystallized in ethanol.

参考文献No.700883
标题:Benzodiazepine derivatives and pharmaceutical compositions thereof
作者:Demarne, H.; Hallot, A.
来源:DE 2719608; FR 2350346; GB 1538164; JP 57081472; NL 7704911; NL 7704912; US 4235897
合成路线图解说明:

2-Amino-5-chloro-2'-fluorobenzophenone (I) is condensed with monoethyl methoxycarbonyl aminomalonate (II) and the crude product obtained (III) is deprotected by HBr to give the free amine hydrobromide (IV). This product is then cyclized in a mixture of acetic acid-sodium acetate to obtain CM-6912, which is separated by filtration and recrystallized in ethanol.

Drug Information Express,Drug R&D,Chemical Database,Patent Search.
Copyright © 2006-2026 Drug Future. All rights reserved.Contact Us