【药物名称】Acycloguanosine, Aciclovir, Acyclovir, W-248-U, BW-248-U, Maynar, Viropump(former Brand Name), Genvir, Zovirax
化学结构式(Chemical Structure):
参考文献No.29527
标题:Preparation of acyclovir
作者:Han, Y.-K.; Harrington, P.J.; Schloemer, G.C. (F. Hoffmann-La Roche AG)
来源:EP 0709385; JP 1996053451
合成路线图解说明:

An efficient and selective process for the synthesis of acyclovir has been published: The reaction of guanine (I) with refluxing hexamethyldisilazane (HMDS) (II) by means of trifluoromethanesulfonic acid, elimination of the HMDS in excess and condensation of the resulting product with refluxing 1,3-dioxolane (III) gives 9-[2-(trimethylsilyloxy)ethoxymethyl]guanine (IV), which is finally hydrolyzed with refluxing acetic acid/water.

参考文献No.41985
标题:Purine derivs.
作者:Schaeffer, H.J. (Glaxo Wellcome plc)
来源:US 4294831
合成路线图解说明:

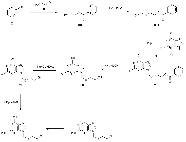
The reaction of benzonitrile (I) with refluxing ethylene glycol (II) gives ethylene glycol monobenzoate (III), which is chloromethylated with formaldehyde and dry HCl in CH2Cl2 affording 1-benzoyloxy-2-chloromethoxyethane (IV). The condensation of (IV) with 2,6-dichloropurine (V) by means of triethylamine in DMF yields 2,6-dichloro-9-(2-benzoyloxyethoxymethyl)purine (VI), which is aminated and debenzoylated by treatment with NH3 in methanol at 95 C in a pressure vessel giving 2-chloro-9-(2-hydroxyethoxymethyl)adenine (VII). The Sandmeyer reaction of (VII) with NaNO2 in acetic acid affords 2-chloro-9-(2-hydroxyethoxymethyl)hypoxanthine (VIII), which is finally amonolyzed with ammonia in methanol at 125 C in a pressure vessel.

合成路线图解说明:

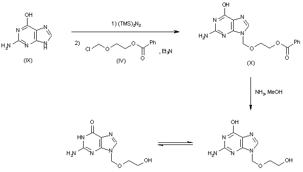
The condensation of guanine (IX) with refluxing hexamethyldisilazane followed by reaction with 1-benzoyloxy-2-chloromethoxyethane (IV) by means of triethylamine in refluxing benzene gives 9-(2-benzoyloxyethoxymethyl)guanine (X), which is finally hydrolyzed with ammonia in methanol at 80 C in a pressure vessel.

合成路线图解说明:

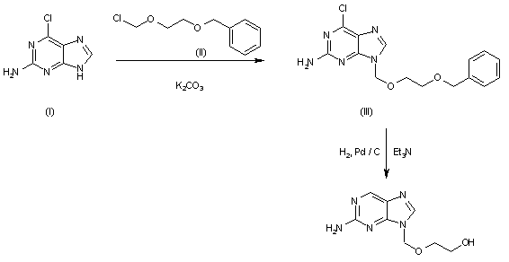
The condensation of 2-amino 6 chloropurine (I) with 2-benzyioxyethoxymethyl chloride (II), by means of K2CO3 in DMF gives 2-amino-6 chloro 9-(2 benzyloxyethoxymethyl)purine (III), which is then dechlorinated by reduction with H2 over Pd/C in ethanol containing triethylamine.

参考文献No.572756
标题:Synthesis of acyclovir, ganciclovir and their prodrugs: A review
作者:Gao, H.; Mitra, A.K.
来源:Synthesis 2000,(3),329
合成路线图解说明:

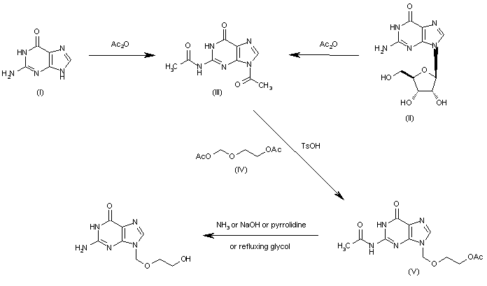
The acetylation of guanine (I) or guanosine (II) with acetic anhydride gives the diacetyl guanine (III), which is condensed with 1,4-diacetoxy-2-oxabutane (IV) by means of TsOH to yield N,O-diacetyl acyclovir (V). Finally, this compound is deacetylated with NH3, NaOH or pyrrolidine at room temperature, or also with refluxing glycol.

合成路线图解说明:

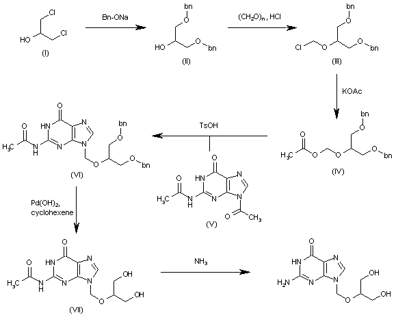
The reaction of 1,3-dichloro-2-propanol (I) with Bn-ONa gives 1,3-dibenzyloxy-2-propanol (II), which by reaction with paraformaldehyde and HCl is converted into the chloromethyl ether (III). The reaction of (III) with potassium acetate affords the acetoxymethyl ether (IV), which is condensed with diacetylguanine (V) by means of TsOH to provide fully protected ganciclovir (VI). Finally, this compound is debenzylated to (VII) with Pd(OH)2/cyclohexene and deacetylated with ammonia in methanol.

合成路线图解说明:

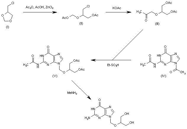
The reaction of 4-(chloromethyl)-1,3-dioxolane (I) with Ac2O, HOAc and ZnCl2 gives the diacetoxy compound (II), which is treated with KOAc to yield the triacetoxy compound (III). The condensation of (III) with diacetyl guanine (IV) by means of ethylsulfonic acid affords the triacetyl ganciclovir (V), which is finally deacetylated with methylamine in methanol.

参考文献No.800614
标题:Acycloguanosine
作者:Casta馿r, J.; Hillier, K.
来源:Drugs Fut 1978,3(11),788
合成路线图解说明:

The reaction of benzonitrile (I) with refluxing ethylene glycol (II) gives ethylene glycol monobenzoate (III), which is chloromethylated with formaldehyde and dry HCl in CH2Cl2 affording 1-benzoyloxy-2-chloromethoxyethane (IV). The condensation of (IV) with 2,6-dichloropurine (V) by means of triethylamine in DMF yields 2,6-dichloro-9-(2-benzoyloxyethoxymethyl)purine (VI), which is aminated and debenzoylated by treatment with NH3 in methanol at 95 C in a pressure vessel giving 2-chloro-9-(2-hydroxyethoxymethyl)adenine (VII). The Sandmeyer reaction of (VII) with NaNO2 in acetic acid affords 2-chloro-9-(2-hydroxyethoxymethyl)hypoxanthine (VIII), which is finally amonolyzed with ammonia in methanol at 125 C in a pressure vessel.

合成路线图解说明:

The condensation of guanine (IX) with refluxing hexamethyldisilazane followed by reaction with 1-benzoyloxy-2-chloromethoxyethane (IV) by means of triethylamine in refluxing benzene gives 9-(2-benzoyloxyethoxymethyl)guanine (X), which is finally hydrolyzed with ammonia in methanol at 80 C in a pressure vessel.

参考文献No.800616
标题:9-(2-Hydroxyethoxy)guanine activity aganist viruses of the herpes group
作者:Schaeffer, H.J.; et al.
来源:Nature 1978,272583-585
合成路线图解说明:

The reaction of benzonitrile (I) with refluxing ethylene glycol (II) gives ethylene glycol monobenzoate (III), which is chloromethylated with formaldehyde and dry HCl in CH2Cl2 affording 1-benzoyloxy-2-chloromethoxyethane (IV). The condensation of (IV) with 2,6-dichloropurine (V) by means of triethylamine in DMF yields 2,6-dichloro-9-(2-benzoyloxyethoxymethyl)purine (VI), which is aminated and debenzoylated by treatment with NH3 in methanol at 95 C in a pressure vessel giving 2-chloro-9-(2-hydroxyethoxymethyl)adenine (VII). The Sandmeyer reaction of (VII) with NaNO2 in acetic acid affords 2-chloro-9-(2-hydroxyethoxymethyl)hypoxanthine (VIII), which is finally amonolyzed with ammonia in methanol at 125 C in a pressure vessel.

Drug Information Express,Drug R&D,Chemical Database,Patent Search.
Copyright © 2006-2026 Drug Future. All rights reserved.Contact Us