【药物名称】Carprofen, Ro-20-5720, C-5720, Rimadyl, Imadyl
化学结构式(Chemical Structure):
参考文献No.199358
标题:Carprofen
作者:Weetman, D.F.; Casta馿r, J.
来源:Drugs Fut 1977,2(1),15
合成路线图解说明:

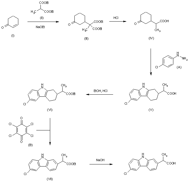
The condensation of cyclohexenone (I) with diethyl alpha-methylmalonate (II) by means of sodium ethoxide in ethanol gives diethyl alpha-methyl-3-oxocyclohexanemalonate (III), oil b.p.(0.8) = 149-52 C, n(20)(D) = 1.4660, which is hydrolyzed and decarboxylated with refluxing dioxane-HCl to yield alpha-methyl-3-oxocyclohexaneacetic acid (IV), oil, b.p.(0.7) = 164-6 C, n(20)(D) = 1.4794. The condensation of (IV) with 4-chlorophenylhydrazine (A) in acetic acid-water atfords 6-chloro-alpha-methyl-1,2,3,4-tetrahydrocarbazole-2-acetic acid (V), m.p. 193-202 C, which is esterified with ethanol-HCl to ethyl 6-chloro-alpha-methyl-1,2,3,4-tetrahydrocarbazole-2-acetate (VI) and aromatized with chloranil (B) in refluxing xylene to give ethyl 6-chloro-alpha-methylcarbazole-2-acetate (VII), m.p. 106.0-7.5 C. Finally, this ester is hydrolyzed with NaOH in refluxing ethanol.

参考文献No.701059
标题:Carbazoles
作者:Berger, L.; Corraz, A.J.
来源:ES 417167; ES 442684; ES 442685; US 3896145
合成路线图解说明:

The condensation of cyclohexenone (I) with diethyl alpha-methylmalonate (II) by means of sodium ethoxide in ethanol gives diethyl alpha-methyl-3-oxocyclohexanemalonate (III), oil b.p.(0.8) = 149-52 C, n(20)(D) = 1.4660, which is hydrolyzed and decarboxylated with refluxing dioxane-HCl to yield alpha-methyl-3-oxocyclohexaneacetic acid (IV), oil, b.p.(0.7) = 164-6 C, n(20)(D) = 1.4794. The condensation of (IV) with 4-chlorophenylhydrazine (A) in acetic acid-water atfords 6-chloro-alpha-methyl-1,2,3,4-tetrahydrocarbazole-2-acetic acid (V), m.p. 193-202 C, which is esterified with ethanol-HCl to ethyl 6-chloro-alpha-methyl-1,2,3,4-tetrahydrocarbazole-2-acetate (VI) and aromatized with chloranil (B) in refluxing xylene to give ethyl 6-chloro-alpha-methylcarbazole-2-acetate (VII), m.p. 106.0-7.5 C. Finally, this ester is hydrolyzed with NaOH in refluxing ethanol.

Drug Information Express,Drug R&D,Chemical Database,Patent Search.
Copyright © 2006-2026 Drug Future. All rights reserved.Contact Us