【药物名称】Clinofibrate, S-8527, Lipoclin
化学结构式(Chemical Structure):
参考文献No.199349
标题:S-8527
作者:Roberts, P.J.; Casta馿r, J.
来源:Drugs Fut 1977,2(5),328
合成路线图解说明:

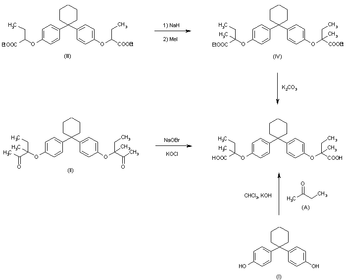
Compound can be prepared by several different ways: 1) By condensation of cyclohexylidenebis(4-hydroxyphenyl) (I) with 2-butanone (A) and CHCl3 by means of NaOH or KOH at 50-150 C. 2) By alkylation of cyclohexylidenebis(4,1-phenyleneoxy)bis(2-butanoic acid) diethyl ester (III) with NaH and methyl iodide in DMF to give the ester (IV), which is then hydrolyzed with K2CO3 in methanol. 3) By oxidation of cyclohexylidenebis(4,1-phenyleneoxy)bis(2-oxo-3-methyl-3-pentyl) (II) with sodium hypobromite or potassium hypochlorite in dioxane - water.

参考文献No.701083
标题:Phenoxy carboxylic acid derivative
作者:Nakamura, Y.; et al.
来源:BE 0748970; FR 2042333; US 3716583
合成路线图解说明:

Compound can be prepared by several different ways: 1) By condensation of cyclohexylidenebis(4-hydroxyphenyl) (I) with 2-butanone (A) and CHCl3 by means of NaOH or KOH at 50-150 C. 2) By alkylation of cyclohexylidenebis(4,1-phenyleneoxy)bis(2-butanoic acid) diethyl ester (III) with NaH and methyl iodide in DMF to give the ester (IV), which is then hydrolyzed with K2CO3 in methanol. 3) By oxidation of cyclohexylidenebis(4,1-phenyleneoxy)bis(2-oxo-3-methyl-3-pentyl) (II) with sodium hypobromite or potassium hypochlorite in dioxane - water.

参考文献No.701084
标题:
作者:Yoshitake, A.; et al.
来源:JP 7354047
合成路线图解说明:

Compound can be prepared by several different ways: 1) By condensation of cyclohexylidenebis(4-hydroxyphenyl) (I) with 2-butanone (A) and CHCl3 by means of NaOH or KOH at 50-150 C. 2) By alkylation of cyclohexylidenebis(4,1-phenyleneoxy)bis(2-butanoic acid) diethyl ester (III) with NaH and methyl iodide in DMF to give the ester (IV), which is then hydrolyzed with K2CO3 in methanol. 3) By oxidation of cyclohexylidenebis(4,1-phenyleneoxy)bis(2-oxo-3-methyl-3-pentyl) (II) with sodium hypobromite or potassium hypochlorite in dioxane - water.

参考文献No.701085
标题:
作者:Nakamura, Y.; et al.
来源:JP 7248378
合成路线图解说明:

Compound can be prepared by several different ways: 1) By condensation of cyclohexylidenebis(4-hydroxyphenyl) (I) with 2-butanone (A) and CHCl3 by means of NaOH or KOH at 50-150 C. 2) By alkylation of cyclohexylidenebis(4,1-phenyleneoxy)bis(2-butanoic acid) diethyl ester (III) with NaH and methyl iodide in DMF to give the ester (IV), which is then hydrolyzed with K2CO3 in methanol. 3) By oxidation of cyclohexylidenebis(4,1-phenyleneoxy)bis(2-oxo-3-methyl-3-pentyl) (II) with sodium hypobromite or potassium hypochlorite in dioxane - water.

Drug Information Express,Drug R&D,Chemical Database,Patent Search.
Copyright © 2006-2026 Drug Future. All rights reserved.Contact Us