【药物名称】Motretinide, Ro-11-1430, Tasmaderm
化学结构式(Chemical Structure):
参考文献No.199336
标题:Motretinide
作者:Casta馿r, J.; Hillier, K.
来源:Drugs Fut 1978,3(2),126
合成路线图解说明:

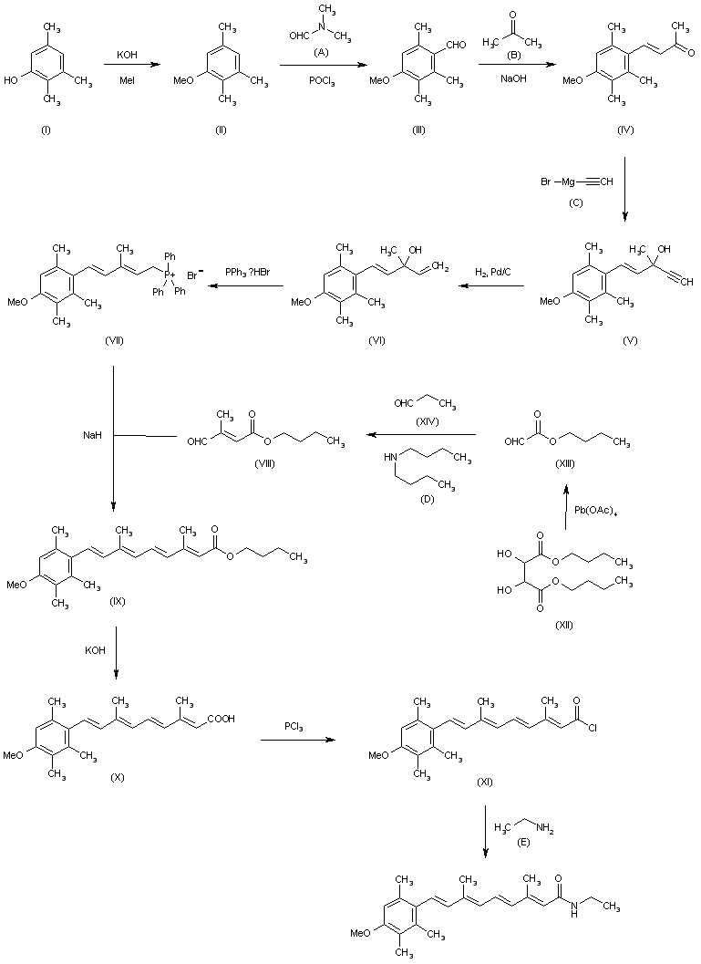
The methylation of 2,3,5-trimethylphenol (I) with MeI and KOH in 10% aqueous ethanol gives 2,3,5-trimethylanisole (II), which is formylated with DMF and POCl3 yielding 2,3,6-trimethyl-p-anisylaldehyde (III). The condensation of (III) with acetone (B) by means of NaOH affords 4-(4-methoxy-2,3,6-trimethylphenyl)but-3-en-2-one (IV), which by a Grignard reaction with ethynylmagnesium bromide (C) in THF is converted into the acetylenic alcohol (V). Partial hydrogenation of (V) with H2 over Pd/C in hexane gives dienic alcohol (VI), which is condensed with triphenylphosphine hydrobromide in benzene affording 5-(4-methoxy-2,3,6 trimethylphenyl)-3-methylpenta-2,4-diene-1-triphenylphosphonium bromide (VII). A Wittig condensation of (VII) with butyl 3-formylcrotonate (VIII) by means of NaH in DMF gives butyl 9-(4-methoxy-2,3,6-trimethylphenyl)-3,7-dimethylnona-2,4,6,8-tetraenoate (IX), which is hydrolyzed with KOH in refluxing ethanol-water yielding the corresponding free acid (X). This acid is converted into the acyl chloride (XI) by treatment with PCl3 in refluxing benzene. Finally, this compound is treated with ethylamine (E) in ether. The butyl 3-formylcrotonate (VIII) is obtained as follows: The oxidation of dibutyl tartrate (XII) with lead tetraacetate in benzene gives butyl glyoxalate (XIII), which is then condensed with propionaldehyde (XIV) by heating at 110 C with dibutyl-amine (D).

参考文献No.701013
标题:Polyene derivatives
作者:Bollag, W.; et al.
来源:BE 0813002; FR 2223037; GB 1468401; GB 1468402
合成路线图解说明:

The methylation of 2,3,5-trimethylphenol (I) with MeI and KOH in 10% aqueous ethanol gives 2,3,5-trimethylanisole (II), which is formylated with DMF and POCl3 yielding 2,3,6-trimethyl-p-anisylaldehyde (III). The condensation of (III) with acetone (B) by means of NaOH affords 4-(4-methoxy-2,3,6-trimethylphenyl)but-3-en-2-one (IV), which by a Grignard reaction with ethynylmagnesium bromide (C) in THF is converted into the acetylenic alcohol (V). Partial hydrogenation of (V) with H2 over Pd/C in hexane gives dienic alcohol (VI), which is condensed with triphenylphosphine hydrobromide in benzene affording 5-(4-methoxy-2,3,6 trimethylphenyl)-3-methylpenta-2,4-diene-1-triphenylphosphonium bromide (VII). A Wittig condensation of (VII) with butyl 3-formylcrotonate (VIII) by means of NaH in DMF gives butyl 9-(4-methoxy-2,3,6-trimethylphenyl)-3,7-dimethylnona-2,4,6,8-tetraenoate (IX), which is hydrolyzed with KOH in refluxing ethanol-water yielding the corresponding free acid (X). This acid is converted into the acyl chloride (XI) by treatment with PCl3 in refluxing benzene. Finally, this compound is treated with ethylamine (E) in ether. The butyl 3-formylcrotonate (VIII) is obtained as follows: The oxidation of dibutyl tartrate (XII) with lead tetraacetate in benzene gives butyl glyoxalate (XIII), which is then condensed with propionaldehyde (XIV) by heating at 110 C with dibutyl-amine (D).

参考文献No.701014
标题:Antidandruff compositions containing 9-(4-lower alkoxy-2,3,6-trilower-alkylphenyl)-3,7-dimethyl-nona-2,4,6,8-tetraen-1-oic acid lower alkyl amides
作者:Bollag, W.; et al.
来源:DE 2542366; ES 441173; FR 2330381; GB 1504350; JP 51057840; US 4021574
合成路线图解说明:

The methylation of 2,3,5-trimethylphenol (I) with MeI and KOH in 10% aqueous ethanol gives 2,3,5-trimethylanisole (II), which is formylated with DMF and POCl3 yielding 2,3,6-trimethyl-p-anisylaldehyde (III). The condensation of (III) with acetone (B) by means of NaOH affords 4-(4-methoxy-2,3,6-trimethylphenyl)but-3-en-2-one (IV), which by a Grignard reaction with ethynylmagnesium bromide (C) in THF is converted into the acetylenic alcohol (V). Partial hydrogenation of (V) with H2 over Pd/C in hexane gives dienic alcohol (VI), which is condensed with triphenylphosphine hydrobromide in benzene affording 5-(4-methoxy-2,3,6 trimethylphenyl)-3-methylpenta-2,4-diene-1-triphenylphosphonium bromide (VII). A Wittig condensation of (VII) with butyl 3-formylcrotonate (VIII) by means of NaH in DMF gives butyl 9-(4-methoxy-2,3,6-trimethylphenyl)-3,7-dimethylnona-2,4,6,8-tetraenoate (IX), which is hydrolyzed with KOH in refluxing ethanol-water yielding the corresponding free acid (X). This acid is converted into the acyl chloride (XI) by treatment with PCl3 in refluxing benzene. Finally, this compound is treated with ethylamine (E) in ether. The butyl 3-formylcrotonate (VIII) is obtained as follows: The oxidation of dibutyl tartrate (XII) with lead tetraacetate in benzene gives butyl glyoxalate (XIII), which is then condensed with propionaldehyde (XIV) by heating at 110 C with dibutyl-amine (D).

Drug Information Express,Drug R&D,Chemical Database,Patent Search.
Copyright © 2006-2026 Drug Future. All rights reserved.Contact Us