【药物名称】Mepindolol sulfate, SHE-222, Mepicor, Betagon, Corindolan
化学结构式(Chemical Structure):
参考文献No.199338
标题:Mepindolol
作者:Weetman, D.F.; Casta馿r, J.
来源:Drugs Fut 1978,3(5),381
合成路线图解说明:

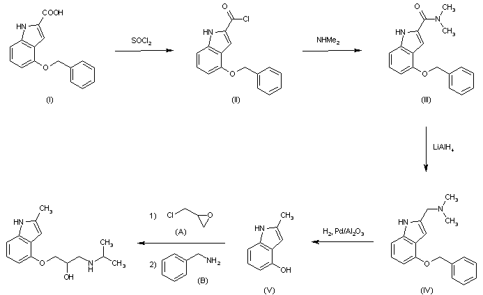
4-Benzyloxy-indole-2-carboxylic acid (I) is converted into the corresponding dimethylamide (III), via the corresponding acid chloride (II); the dimethylamide (III) is reduced with LiAlH4 to give 4-benzyloxy-2-dimethylaminomethyl-indole (IV), which is hydrogenated to 4-hydroxy-2-methyl-indole (V). The reaction of (V) with epichlorohydrin (A) in aqueous NaOH gives the crude epoxide which without isolation is treated with isopropylamine (B) in refluxing dioxane.

合成路线图解说明:

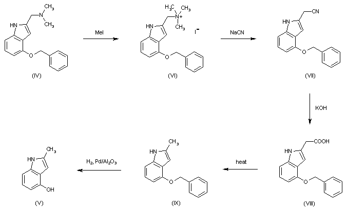
4-Hydroxy-2-methyl-indole (IV) can be quaternized with MeI yielding the ammonium salt (VI), which by heating with aqueous NaCN in converted into 2-cyanomethyl-4-benzyloxyindole (VII). The hydrolysis of (VII) affords the corresponding acid (VIII), which is decarboxylated to 4-benzyloxy-2-methyl-indole (IX). Finally, this compound is hydrogenated to the previously obtained 4-hydroxy-2-methyl-indole (V).

合成路线图解说明:

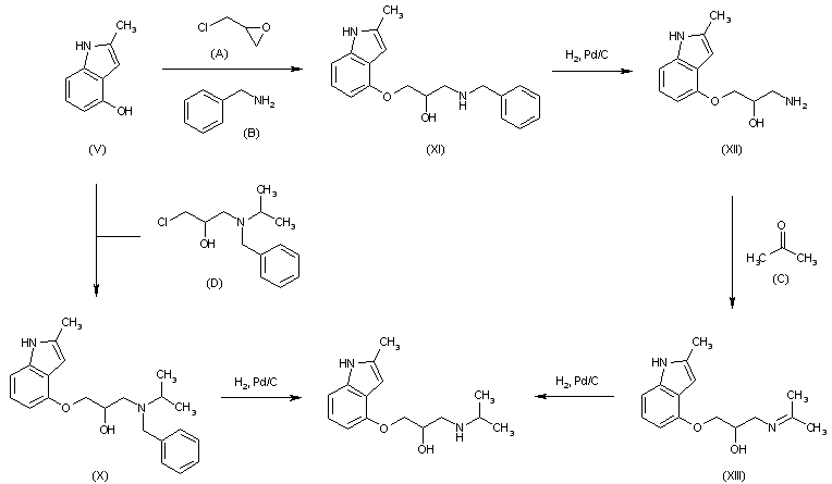
The reaction of 4-hydroxy-2-methyl-indole (V) with 1-(N-benzylisopropylamino)-3-chloro-2-propanol (D) by means of NaOH in refluxing aqueous dioxane yields the corresponding benzylamine (X), which is debenzylated by catalytic hydrogenation. The reaction of 4-hydroxy-2-methyl-indole (V) with epichlorohydrin (A) and benzylamine (B) gives 4-(3-benzylamino-2-hydroxypropoxy)-2-methyl-indole (XI), which is debenzylated by hydrogenolysis to 4-(3-amino-2-hydroxypropoxy)-2-methyl-indole (XII). The condensation of (XII) with refluxing acetone (C) affords the corresponding N-isopropylidene derivative (XIII), which is finally hydrogenated with H2 over Pd/C in methanol.

参考文献No.701029
标题:Verfahren zur Herstellung neuer Indolderivate
作者:Troxler, F.; Hofmann, A.
来源:AT 316542B; CH 502337
合成路线图解说明:

4-Benzyloxy-indole-2-carboxylic acid (I) is converted into the corresponding dimethylamide (III), via the corresponding acid chloride (II); the dimethylamide (III) is reduced with LiAlH4 to give 4-benzyloxy-2-dimethylaminomethyl-indole (IV), which is hydrogenated to 4-hydroxy-2-methyl-indole (V). The reaction of (V) with epichlorohydrin (A) in aqueous NaOH gives the crude epoxide which without isolation is treated with isopropylamine (B) in refluxing dioxane.

合成路线图解说明:

4-Hydroxy-2-methyl-indole (IV) can be quaternized with MeI yielding the ammonium salt (VI), which by heating with aqueous NaCN in converted into 2-cyanomethyl-4-benzyloxyindole (VII). The hydrolysis of (VII) affords the corresponding acid (VIII), which is decarboxylated to 4-benzyloxy-2-methyl-indole (IX). Finally, this compound is hydrogenated to the previously obtained 4-hydroxy-2-methyl-indole (V).

参考文献No.701030
标题:Verfahren zur Herstellung neuer Indolderivate
作者:Troxler, F.
来源:CH 472404; ES 337457
合成路线图解说明:

The reaction of 4-hydroxy-2-methyl-indole (V) with 1-(N-benzylisopropylamino)-3-chloro-2-propanol (D) by means of NaOH in refluxing aqueous dioxane yields the corresponding benzylamine (X), which is debenzylated by catalytic hydrogenation. The reaction of 4-hydroxy-2-methyl-indole (V) with epichlorohydrin (A) and benzylamine (B) gives 4-(3-benzylamino-2-hydroxypropoxy)-2-methyl-indole (XI), which is debenzylated by hydrogenolysis to 4-(3-amino-2-hydroxypropoxy)-2-methyl-indole (XII). The condensation of (XII) with refluxing acetone (C) affords the corresponding N-isopropylidene derivative (XIII), which is finally hydrogenated with H2 over Pd/C in methanol.

参考文献No.701031
标题:Verfahren zur Herstellung neuer Indolderivate
作者:Troxler, F.; Hofmann, A.
来源:CH 543505
合成路线图解说明:

4-Benzyloxy-indole-2-carboxylic acid (I) is converted into the corresponding dimethylamide (III), via the corresponding acid chloride (II); the dimethylamide (III) is reduced with LiAlH4 to give 4-benzyloxy-2-dimethylaminomethyl-indole (IV), which is hydrogenated to 4-hydroxy-2-methyl-indole (V). The reaction of (V) with epichlorohydrin (A) in aqueous NaOH gives the crude epoxide which without isolation is treated with isopropylamine (B) in refluxing dioxane.

参考文献No.701032
标题:Verfahren zur Herstellung von neuem 4-(2-Hydroxy-3-isopropylaminopropoxy)-2-methylindol und seiner S鋟readditionssalze Indolderivate
作者:Troxler, F.
来源:AT 317199
合成路线图解说明:

The reaction of 4-hydroxy-2-methyl-indole (V) with 1-(N-benzylisopropylamino)-3-chloro-2-propanol (D) by means of NaOH in refluxing aqueous dioxane yields the corresponding benzylamine (X), which is debenzylated by catalytic hydrogenation. The reaction of 4-hydroxy-2-methyl-indole (V) with epichlorohydrin (A) and benzylamine (B) gives 4-(3-benzylamino-2-hydroxypropoxy)-2-methyl-indole (XI), which is debenzylated by hydrogenolysis to 4-(3-amino-2-hydroxypropoxy)-2-methyl-indole (XII). The condensation of (XII) with refluxing acetone (C) affords the corresponding N-isopropylidene derivative (XIII), which is finally hydrogenated with H2 over Pd/C in methanol.

参考文献No.701033
标题:Verfahren zur Herstellung neuer Indolderivate
作者:Troxler, F.
来源:CH 469002; ES 337458
合成路线图解说明:

The reaction of 4-hydroxy-2-methyl-indole (V) with 1-(N-benzylisopropylamino)-3-chloro-2-propanol (D) by means of NaOH in refluxing aqueous dioxane yields the corresponding benzylamine (X), which is debenzylated by catalytic hydrogenation. The reaction of 4-hydroxy-2-methyl-indole (V) with epichlorohydrin (A) and benzylamine (B) gives 4-(3-benzylamino-2-hydroxypropoxy)-2-methyl-indole (XI), which is debenzylated by hydrogenolysis to 4-(3-amino-2-hydroxypropoxy)-2-methyl-indole (XII). The condensation of (XII) with refluxing acetone (C) affords the corresponding N-isopropylidene derivative (XIII), which is finally hydrogenated with H2 over Pd/C in methanol.

参考文献No.800263
标题:Synthetic indoles. 10. Chemistry of 4-hydroxy-indoles
作者:Seemann, F.; et al.
来源:Helv Chim Acta 1971,54(8),2411-19
合成路线图解说明:

4-Benzyloxy-indole-2-carboxylic acid (I) is converted into the corresponding dimethylamide (III), via the corresponding acid chloride (II); the dimethylamide (III) is reduced with LiAlH4 to give 4-benzyloxy-2-dimethylaminomethyl-indole (IV), which is hydrogenated to 4-hydroxy-2-methyl-indole (V). The reaction of (V) with epichlorohydrin (A) in aqueous NaOH gives the crude epoxide which without isolation is treated with isopropylamine (B) in refluxing dioxane.

合成路线图解说明:

The reaction of 4-hydroxy-2-methyl-indole (V) with 1-(N-benzylisopropylamino)-3-chloro-2-propanol (D) by means of NaOH in refluxing aqueous dioxane yields the corresponding benzylamine (X), which is debenzylated by catalytic hydrogenation. The reaction of 4-hydroxy-2-methyl-indole (V) with epichlorohydrin (A) and benzylamine (B) gives 4-(3-benzylamino-2-hydroxypropoxy)-2-methyl-indole (XI), which is debenzylated by hydrogenolysis to 4-(3-amino-2-hydroxypropoxy)-2-methyl-indole (XII). The condensation of (XII) with refluxing acetone (C) affords the corresponding N-isopropylidene derivative (XIII), which is finally hydrogenated with H2 over Pd/C in methanol.

Drug Information Express,Drug R&D,Chemical Database,Patent Search.
Copyright © 2006-2026 Drug Future. All rights reserved.Contact Us