【药物名称】Cefotiam hydrochloride, SCE-963, CGP-14221/E, Abbott-48999, Pansporin, Halospor
化学结构式(Chemical Structure):
参考文献No.47011
标题:Novel 3-acyloxymethyl-cephem compounds useful as intermediates for preparing cephalosporin antibiotics
作者:Tsushima, S.; et al. (Takeda Chemical Industries, Ltd.)
来源:DE 2607064; ES 459261; FR 2301528; GB 1544103; US 4245088
合成路线图解说明:

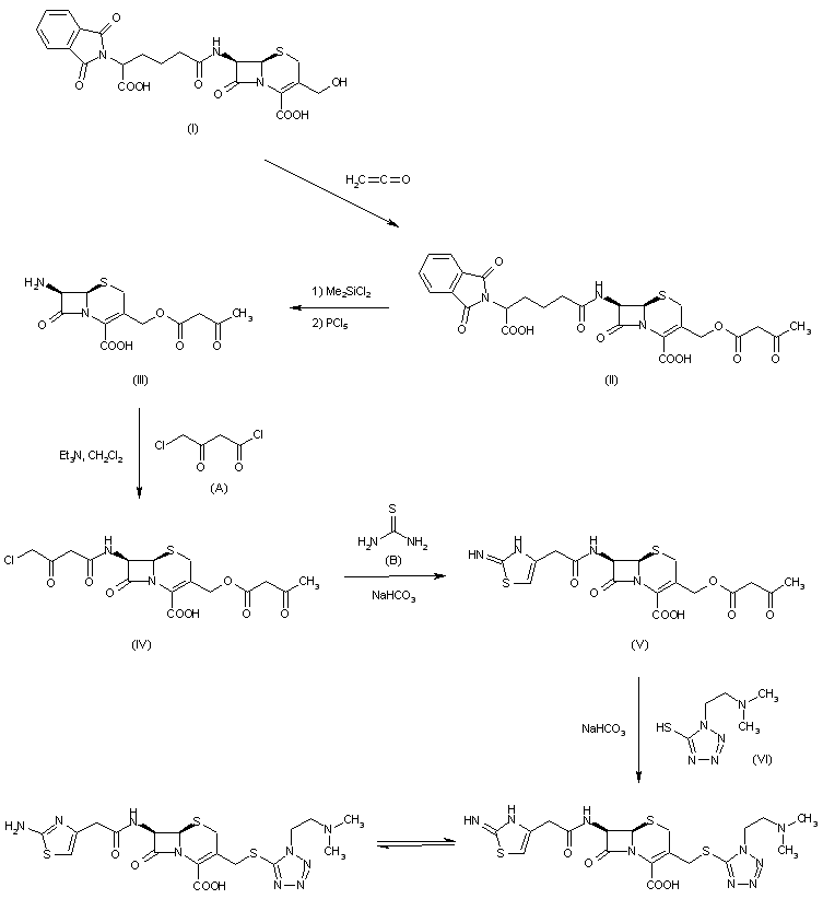
The reaction of 7-beta-(D-5-phthalimido-5-carboxylvaleramido)-3-hydroxy-methyl-3-cephem-4-carboxylic acid (I) with diketene in CH2Cl2 gives the 3-(3-oxobutyryloxy)methyl derivative (II), which is treated with triethylamine-N,N-dimethylaniline, dimethyldichlososilane and PCl5 to obtain 7-beta-amino-3-(3-oxobutyryloxy)methyl-3-cephem-4-carboxylic acid (III).The acylation of (III) with 4-chloro-3-oxobutyryl chloride (A) and triethylamine in CH2Cl2 affords the amide (IV), which is condensed with thiourea (B) by means of NaHCO3 in acetone yielding the thiazole derivative (V). Finally, this compound is condensed with 5-mercapto-1-[2-(N,N-dimethylamino)ethyl-1H-tetrazole (VI) by means of NaHCO3 in hot water.

参考文献No.47012
标题:7-Alpha-(2-aminothiazole)acetamidocephalosporins
作者:Numata, M.; et al. (Takeda Chemical Industries, Ltd.)
来源:DE 2461478; FR 2255077; GB 1491018; NL 7416609; US 4080498; US 4421912; US 4517361
合成路线图解说明:

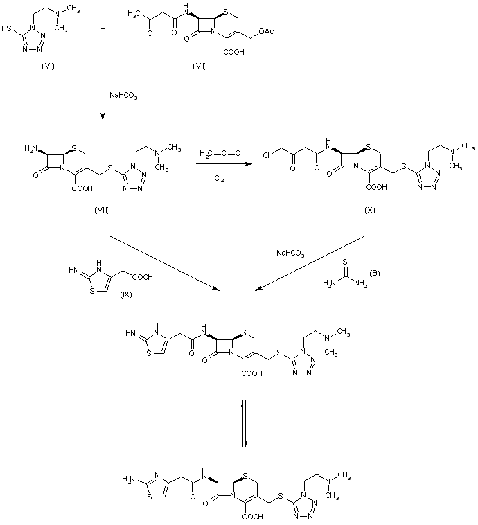
The condensation of 7-acetoacetamido-3-acetoxymethyl-3-cephem-4-carboxylic acid (VII) with the mercaptane (VI) by means of NaHCO3 in hot water gives 7-beta-amino-3-[1-[2-(N,N-dimethylamino)ethyl]-1H-tetrazol-5-ylthiomethyl]-3-cephem-4-carboxylic acid (VIII), which is then condensed with 2-aminothiazol-4-ylacetic acid (IX) by means of N-hydroxysuccinimide and dicyclohexylcarbodiimide in THF. The free amino group of (VIII) is acylated with Cl2 and diketene giving the 4-chloro-3-oxobutyramido derivative (X), which is finally cyclized with thiourea (B) by means of NaHCO3 in acetone.

参考文献No.199354
标题:Cefotiam
作者:Blancafort, P.; Serradell, M.N.; Casta馿r, J.; Roberts, P.J.
来源:Drugs Fut 1979,4(6),400
合成路线图解说明:

The reaction of 7-beta-(D-5-phthalimido-5-carboxylvaleramido)-3-hydroxy-methyl-3-cephem-4-carboxylic acid (I) with diketene in CH2Cl2 gives the 3-(3-oxobutyryloxy)methyl derivative (II), which is treated with triethylamine-N,N-dimethylaniline, dimethyldichlososilane and PCl5 to obtain 7-beta-amino-3-(3-oxobutyryloxy)methyl-3-cephem-4-carboxylic acid (III).The acylation of (III) with 4-chloro-3-oxobutyryl chloride (A) and triethylamine in CH2Cl2 affords the amide (IV), which is condensed with thiourea (B) by means of NaHCO3 in acetone yielding the thiazole derivative (V). Finally, this compound is condensed with 5-mercapto-1-[2-(N,N-dimethylamino)ethyl-1H-tetrazole (VI) by means of NaHCO3 in hot water.

合成路线图解说明:

The condensation of 7-acetoacetamido-3-acetoxymethyl-3-cephem-4-carboxylic acid (VII) with the mercaptane (VI) by means of NaHCO3 in hot water gives 7-beta-amino-3-[1-[2-(N,N-dimethylamino)ethyl]-1H-tetrazol-5-ylthiomethyl]-3-cephem-4-carboxylic acid (VIII), which is then condensed with 2-aminothiazol-4-ylacetic acid (IX) by means of N-hydroxysuccinimide and dicyclohexylcarbodiimide in THF. The free amino group of (VIII) is acylated with Cl2 and diketene giving the 4-chloro-3-oxobutyramido derivative (X), which is finally cyclized with thiourea (B) by means of NaHCO3 in acetone.

Drug Information Express,Drug R&D,Chemical Database,Patent Search.
Copyright © 2006-2026 Drug Future. All rights reserved.Contact Us