【药物名称】Fluvoxamine maleate, SME-3110, MK-264, DU-23000, Luvox CR, Depromel, Luvox, Faverin, Fevarin, Floxyfral
化学结构式(Chemical Structure):
参考文献No.201767
标题:Fluvoxamine
作者:Thorpe, P.J.; Casta馿r, J.
来源:Drugs Fut 1978,3(4),288
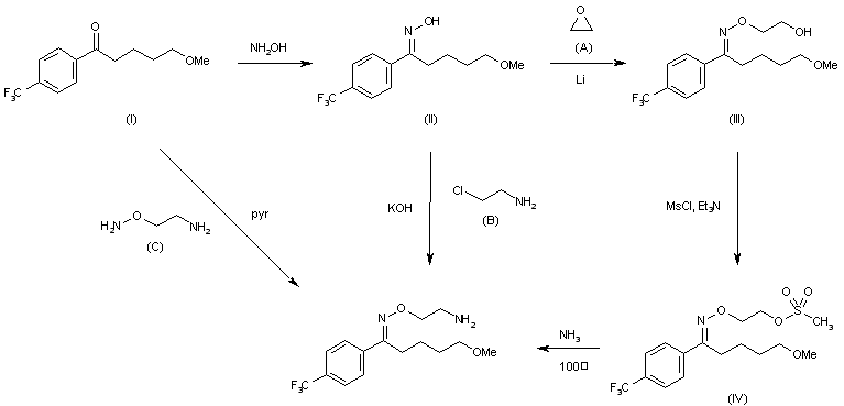
合成路线图解说明:

Compound can be prepared in three different ways all starting from p-trifluoromethyl-5-methoxy-valerophenone (I): 1) By condensation of (I) with 2-aminooxyethylamine dihydrochloride in refluxing pyridine ethanol (C). 2) The reaction of (I) with hydroxylamine as usual yields the corresponding oxime (II), which is then condensed with 2-chloroethylamine (B) by means of KOH in DMF. 3) The reaction of the oxime (II) with Li and ethylene oxide (A) in absolute ethanol affords the O-(2-hydroxyethyl)oxime (III), which is esterified with mesyl chloride by means of triethylamine in methylene chloride giving the O-(2-mesyloxyethyl)oxime (IV). Finally, this compound is treated with NH3 in methanol at 100 C in a pressure vessel.

参考文献No.701021
标题:Oxime ethers having anti-depressive activity
作者:Welle, H.B.A.; Claassen, V.
来源:DE 2610886; FR 2304336; GB 1535226; JP 51125345; NL 7503310; US 4085225
合成路线图解说明:

Compound can be prepared in three different ways all starting from p-trifluoromethyl-5-methoxy-valerophenone (I): 1) By condensation of (I) with 2-aminooxyethylamine dihydrochloride in refluxing pyridine ethanol (C). 2) The reaction of (I) with hydroxylamine as usual yields the corresponding oxime (II), which is then condensed with 2-chloroethylamine (B) by means of KOH in DMF. 3) The reaction of the oxime (II) with Li and ethylene oxide (A) in absolute ethanol affords the O-(2-hydroxyethyl)oxime (III), which is esterified with mesyl chloride by means of triethylamine in methylene chloride giving the O-(2-mesyloxyethyl)oxime (IV). Finally, this compound is treated with NH3 in methanol at 100 C in a pressure vessel.

Drug Information Express,Drug R&D,Chemical Database,Patent Search.
Copyright © 2006-2026 Drug Future. All rights reserved.Contact Us