【药物名称】Gemeprost, SC-37681, Ono-802, Cergem, Preglandin, Cervagem
化学结构式(Chemical Structure):
参考文献No.199332
标题:ONO-802
作者:Casta馿r, J.; Leeson, P.
来源:Drugs Fut 1979,4(1),38
合成路线图解说明:

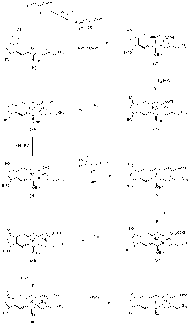
The reaction of 3-bromopropionic acid (I) with triphenylphosphine (II) in refluxing acetonitrile gives (2-carboxyethyl)-triphenylphosphonium bromide (III), which by a Wittig reaction with 2-oxa-3-hydroxy-6-syn-(3alpha-tetrahydropyranyloxy-4,4-dimethyl-1-trans-octen-1-yl)-7-anti-tetrahydropyranyloxybicyclo- [3.3.0]cis-octane (IV) (prepared according to reference 2) by means of sodium dimethylsulfinate in DMSO yields 9alpha-hydroxy-11alpha,15alpha-bis(tetrahydropyranyloxy)-16,16-dimethyl-alpha-dinorprosta-5-cis-13-trans-dienoic acid (V). The reduction of (V) with H2 over Pd/C in methanol affords the 13-trans-prostenoic acid (VI), which is methylated with CH2N2 in ether yielding the methyl ester (VII). The reduction of (VII) with diisobutyl aluminum hydride in toluene affords the corresponding aldehyde (VIII), which by a Wittig reaction with triethyl phosphonoacetate (IX) by means of NaH in THF is converted into 9alpha-hydroxy-11alpha,15alpha-bis(tetrahydropyranyloxy)-16,16-dimethylprosta-2-trans-dienoic acid ethyl ester (X). The hydrolysis of the ester (X) with KOH in ethanol-water gives the corresponding acid (XI), which is oxidized with CrO3, MnSO4 and H2SO4 in ether - water yielding the protected ketoacid (XII). The hydrolysis of (XII) with acetic acid-water at 80 C gives 9-oxo-11alpha,15alpha-dihydroxy-16,16-dimethyl-prosta-2-trans-13-trans-dienoic acid (16,16-dimethyl-DELTA2-trans-PGE1) (XIII), which is finally methylated with CH2N2 in ether

参考文献No.700946
标题:Prostaglandin-analoge
作者:Hayashi, M.; Kori, S.; Wakatsuka, H.
来源:BE 0850084
合成路线图解说明:

The reaction of 3-bromopropionic acid (I) with triphenylphosphine (II) in refluxing acetonitrile gives (2-carboxyethyl)-triphenylphosphonium bromide (III), which by a Wittig reaction with 2-oxa-3-hydroxy-6-syn-(3alpha-tetrahydropyranyloxy-4,4-dimethyl-1-trans-octen-1-yl)-7-anti-tetrahydropyranyloxybicyclo- [3.3.0]cis-octane (IV) (prepared according to reference 2) by means of sodium dimethylsulfinate in DMSO yields 9alpha-hydroxy-11alpha,15alpha-bis(tetrahydropyranyloxy)-16,16-dimethyl-alpha-dinorprosta-5-cis-13-trans-dienoic acid (V). The reduction of (V) with H2 over Pd/C in methanol affords the 13-trans-prostenoic acid (VI), which is methylated with CH2N2 in ether yielding the methyl ester (VII). The reduction of (VII) with diisobutyl aluminum hydride in toluene affords the corresponding aldehyde (VIII), which by a Wittig reaction with triethyl phosphonoacetate (IX) by means of NaH in THF is converted into 9alpha-hydroxy-11alpha,15alpha-bis(tetrahydropyranyloxy)-16,16-dimethylprosta-2-trans-dienoic acid ethyl ester (X). The hydrolysis of the ester (X) with KOH in ethanol-water gives the corresponding acid (XI), which is oxidized with CrO3, MnSO4 and H2SO4 in ether - water yielding the protected ketoacid (XII). The hydrolysis of (XII) with acetic acid-water at 80 C gives 9-oxo-11alpha,15alpha-dihydroxy-16,16-dimethyl-prosta-2-trans-13-trans-dienoic acid (16,16-dimethyl-DELTA2-trans-PGE1) (XIII), which is finally methylated with CH2N2 in ether

参考文献No.800243
标题:Effect of ONO-802 on uterine activity and plasma levels of steroid hormones in japanese monkeys (Macaca Fuscata Fuscata)
作者:Oshima, K.
来源:Acta Obs Gyn Jpn 1977,29(12),1923
合成路线图解说明:

The reaction of 3-bromopropionic acid (I) with triphenylphosphine (II) in refluxing acetonitrile gives (2-carboxyethyl)-triphenylphosphonium bromide (III), which by a Wittig reaction with 2-oxa-3-hydroxy-6-syn-(3alpha-tetrahydropyranyloxy-4,4-dimethyl-1-trans-octen-1-yl)-7-anti-tetrahydropyranyloxybicyclo- [3.3.0]cis-octane (IV) (prepared according to reference 2) by means of sodium dimethylsulfinate in DMSO yields 9alpha-hydroxy-11alpha,15alpha-bis(tetrahydropyranyloxy)-16,16-dimethyl-alpha-dinorprosta-5-cis-13-trans-dienoic acid (V). The reduction of (V) with H2 over Pd/C in methanol affords the 13-trans-prostenoic acid (VI), which is methylated with CH2N2 in ether yielding the methyl ester (VII). The reduction of (VII) with diisobutyl aluminum hydride in toluene affords the corresponding aldehyde (VIII), which by a Wittig reaction with triethyl phosphonoacetate (IX) by means of NaH in THF is converted into 9alpha-hydroxy-11alpha,15alpha-bis(tetrahydropyranyloxy)-16,16-dimethylprosta-2-trans-dienoic acid ethyl ester (X). The hydrolysis of the ester (X) with KOH in ethanol-water gives the corresponding acid (XI), which is oxidized with CrO3, MnSO4 and H2SO4 in ether - water yielding the protected ketoacid (XII). The hydrolysis of (XII) with acetic acid-water at 80 C gives 9-oxo-11alpha,15alpha-dihydroxy-16,16-dimethyl-prosta-2-trans-13-trans-dienoic acid (16,16-dimethyl-DELTA2-trans-PGE1) (XIII), which is finally methylated with CH2N2 in ether

Drug Information Express,Drug R&D,Chemical Database,Patent Search.
Copyright © 2006-2026 Drug Future. All rights reserved.Contact Us