【药物名称】Flecainide acetate, E-0735, R-818, Apocard, Tambocor
化学结构式(Chemical Structure):
参考文献No.45200
标题:Process for the preparation of derivs. of pyrrolidine and piperidine
作者:Leir, C.M. (3M Pharmaceuticals)
来源:US 4642384
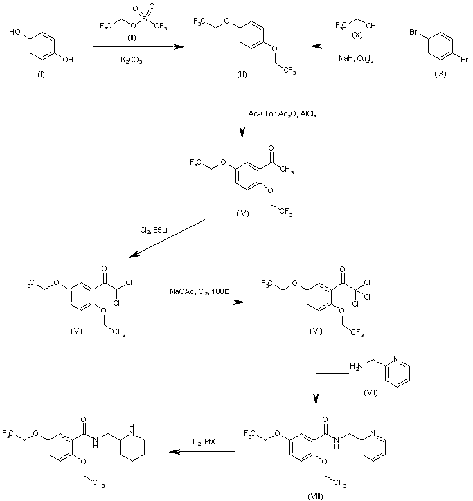
合成路线图解说明:

The etherification of hydroquinone (I) with 2,2,2-trifluoroethyl trifluoromethanesulfonate (II) by means of K2CO3 in refluxing acetone gives the corresponding diether (III), which is submitted to a Friedel-Crafts condensation with Ac-Cl or Ac2O and AlCl3 in dichloromethane yielding the acetophenone (IV). The chlorination of (IV) with Cl2 in acetic acid at 55 C gives the alpha, alpha-dichloroacetophenone (V), which is further chlorinated with Cl2 and NaOAc in acetic acid at 100 C affording the corresponding trichloro derivative (VI). The reaction of (VI) with 2-(aminomethyl)pyridine (VII) in cyclohexane/toluene or isopropanol furnishes the benzamide (VIII), which is finally hydrogenated with H2 over Pt/C in isopropanol/acetic acid to give the target piperidine derivative.

参考文献No.199374
标题:Flecainide acetate
作者:Hillier, K.; Casta馿r, J.
来源:Drugs Fut 1977,2(9),586
合成路线图解说明:

The condensation of 2-aminomethylpyridine (II) with 2,2,2-trifluoroethyl-2,5-bis(2,2,2-trifluoroethoxy)benzoate (I) in refluxing glyme gives 2,5-bis(2,2,2-trifluoroethoxy)-N-(2-pyridylmethyl)benzamide (III), which is then hydrogenated with H2 over Pd/C in acetic acid.

参考文献No.701095
标题:Derivatives of pyrrolidine and piperidine
作者:Bannitt, E.H.; Bronn, W.R.
来源:ES 435870; FR 2265366; GB 1508015; JP 58065268; US 3900481
合成路线图解说明:

The condensation of 2-aminomethylpyridine (II) with 2,2,2-trifluoroethyl-2,5-bis(2,2,2-trifluoroethoxy)benzoate (I) in refluxing glyme gives 2,5-bis(2,2,2-trifluoroethoxy)-N-(2-pyridylmethyl)benzamide (III), which is then hydrogenated with H2 over Pd/C in acetic acid.

Drug Information Express,Drug R&D,Chemical Database,Patent Search.
Copyright © 2006-2026 Drug Future. All rights reserved.Contact Us