【药物名称】Emorfazone, M-73101, Pentoil
化学结构式(Chemical Structure):
参考文献No.199352
标题:M-73101
作者:Casta馿r, J.; Blancafort, P.
来源:Drugs Fut 1978,3(10),756
合成路线图解说明:

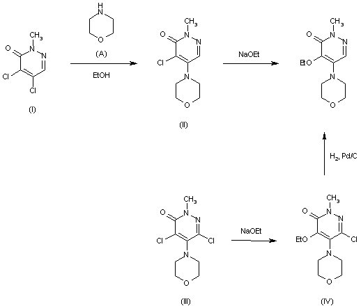
Compound can be prepared in two different ways: 1) The condensation of 4,5-dichloro-2-methyl-3-(2H)pyridazinone (I) with morpholine (A) in refluxing ethanol gives 2-methyl-4-chloro-5-morpholino-3(2H)-pyridazinone (II), which is then treated with sodium ethoxide in refluxing ethanol. 2) The reaction of 2-methyl-4,6-dichloro-5-morpholino-3(2H)pyridazinone (III) with sodium ethoxide in refluxing ethanol gives 2-methyl-4-ethoxy-5-morpholino-6-chloro-3(2H)-pyridazinone (IV), which is then reduced with H2 over Pd/C in THF.

参考文献No.701043
标题:2-Alkyl-4-alkoxy-5-morpholino-3-2H-pyridazinones and their method of preparation
作者:Satoda, I.; et al.
来源:GB 1351569
合成路线图解说明:

Compound can be prepared in two different ways: 1) The condensation of 4,5-dichloro-2-methyl-3-(2H)pyridazinone (I) with morpholine (A) in refluxing ethanol gives 2-methyl-4-chloro-5-morpholino-3(2H)-pyridazinone (II), which is then treated with sodium ethoxide in refluxing ethanol. 2) The reaction of 2-methyl-4,6-dichloro-5-morpholino-3(2H)pyridazinone (III) with sodium ethoxide in refluxing ethanol gives 2-methyl-4-ethoxy-5-morpholino-6-chloro-3(2H)-pyridazinone (IV), which is then reduced with H2 over Pd/C in THF.

参考文献No.701044
标题:Verfahren zur Herstellung von 2-Alkyl-4-alkoxy-5-morpholino-3(2H)-pyridazinon
作者:Satoda, I.; et al.
来源:DE 2225218
合成路线图解说明:

Compound can be prepared in two different ways: 1) The condensation of 4,5-dichloro-2-methyl-3-(2H)pyridazinone (I) with morpholine (A) in refluxing ethanol gives 2-methyl-4-chloro-5-morpholino-3(2H)-pyridazinone (II), which is then treated with sodium ethoxide in refluxing ethanol. 2) The reaction of 2-methyl-4,6-dichloro-5-morpholino-3(2H)pyridazinone (III) with sodium ethoxide in refluxing ethanol gives 2-methyl-4-ethoxy-5-morpholino-6-chloro-3(2H)-pyridazinone (IV), which is then reduced with H2 over Pd/C in THF.

参考文献No.701045
标题:
作者:Satoda, I.; et al.
来源:JP 7224030
合成路线图解说明:

Compound can be prepared in two different ways: 1) The condensation of 4,5-dichloro-2-methyl-3-(2H)pyridazinone (I) with morpholine (A) in refluxing ethanol gives 2-methyl-4-chloro-5-morpholino-3(2H)-pyridazinone (II), which is then treated with sodium ethoxide in refluxing ethanol. 2) The reaction of 2-methyl-4,6-dichloro-5-morpholino-3(2H)pyridazinone (III) with sodium ethoxide in refluxing ethanol gives 2-methyl-4-ethoxy-5-morpholino-6-chloro-3(2H)-pyridazinone (IV), which is then reduced with H2 over Pd/C in THF.

参考文献No.701046
标题:
作者:Kishikawa, T.; Matsuo, T.
来源:JP 7659882
合成路线图解说明:

Compound can be prepared in two different ways: 1) The condensation of 4,5-dichloro-2-methyl-3-(2H)pyridazinone (I) with morpholine (A) in refluxing ethanol gives 2-methyl-4-chloro-5-morpholino-3(2H)-pyridazinone (II), which is then treated with sodium ethoxide in refluxing ethanol. 2) The reaction of 2-methyl-4,6-dichloro-5-morpholino-3(2H)pyridazinone (III) with sodium ethoxide in refluxing ethanol gives 2-methyl-4-ethoxy-5-morpholino-6-chloro-3(2H)-pyridazinone (IV), which is then reduced with H2 over Pd/C in THF.

Drug Information Express,Drug R&D,Chemical Database,Patent Search.
Copyright © 2006-2026 Drug Future. All rights reserved.Contact Us