【药物名称】Befunolol hydrochloride, BFE-60, Glauconex, Betaclar, Benfuran, Bentos
化学结构式(Chemical Structure):
参考文献No.46978
标题:2-Substittuted-(2-hydroxy-3-lower alkalinopropoxy)benzofurans
作者:Ito, K.; Ikemoto, M.; Kimura, K.; Nakanishi, T. (Kaken Pharmaceutical Co., Ltd.)
来源:DE 2223184; FR 2137901; JP 7242747; US 3853923
合成路线图解说明:

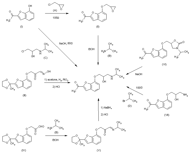
Compound can be prepared in several different ways: 1) The reaction of 2-acetyl-7-hydroxybenzofuran (I) with epichlorohydrin by means of piperidine hydrochloride (A) at 105 C gives 2-acetyl-7-(2,3-epoxypropoxy)benzofuran (II), which is then condensed with isopropylamine (B) in refluxing ethanol. 2) By reaction of (I) with 1-chloro-3-isopropylamino-2-propanol (C) by means of NaOH at 80 C in a sealed tube. 3) By reductocondensation of 2-[1,1-(ethylenedioxy)ethyl]-7-[2-oxo-3-(hydroxyimino)propoxy]benzofuran (III) with acetone by means of H2 and PtO2 in ethanol, followed by hydrolysis of the reduced product with HCl in ethanol. 4) The reaction of 2-[1,1-(ethylenedioxy)ethyl]-7-glyoxylmethoxybenz-furan (IV) with isopropylamine (B) in ethanol gives the corresponding Schiff base (V), which is then reduced with NaBH4 and hydrolyzed with HCl in ethanol. 5) By hydrolysis of 3-isopropyl-5-(2-acetyl-7-benzofuryloxymethyl)oxazolidinone (VI) with aqueous refluxing NaOH. 6) By reaction of 2-acetyl-7-(2-hydroxy-3-aminopropoxy)benzofuran (VII) with isopropyl bromide (D) in ethanol at 100 C.

参考文献No.199348
标题:Befunolol
作者:Casta馿r, J.; Blancafort, P.; Weetman, D.F.; Serradell, M.N.
来源:Drugs Fut 1981,6(10),601
合成路线图解说明:

Compound can be prepared in several different ways: 1) The reaction of 2-acetyl-7-hydroxybenzofuran (I) with epichlorohydrin by means of piperidine hydrochloride (A) at 105 C gives 2-acetyl-7-(2,3-epoxypropoxy)benzofuran (II), which is then condensed with isopropylamine (B) in refluxing ethanol. 2) By reaction of (I) with 1-chloro-3-isopropylamino-2-propanol (C) by means of NaOH at 80 C in a sealed tube. 3) By reductocondensation of 2-[1,1-(ethylenedioxy)ethyl]-7-[2-oxo-3-(hydroxyimino)propoxy]benzofuran (III) with acetone by means of H2 and PtO2 in ethanol, followed by hydrolysis of the reduced product with HCl in ethanol. 4) The reaction of 2-[1,1-(ethylenedioxy)ethyl]-7-glyoxylmethoxybenz-furan (IV) with isopropylamine (B) in ethanol gives the corresponding Schiff base (V), which is then reduced with NaBH4 and hydrolyzed with HCl in ethanol. 5) By hydrolysis of 3-isopropyl-5-(2-acetyl-7-benzofuryloxymethyl)oxazolidinone (VI) with aqueous refluxing NaOH. 6) By reaction of 2-acetyl-7-(2-hydroxy-3-aminopropoxy)benzofuran (VII) with isopropyl bromide (D) in ethanol at 100 C.

参考文献No.700876
标题:
作者:Ito, K.; Ikemoto, M.; Kimura, K.; Nakanishi, T.
来源:JP 7443960
合成路线图解说明:

Compound can be prepared in several different ways: 1) The reaction of 2-acetyl-7-hydroxybenzofuran (I) with epichlorohydrin by means of piperidine hydrochloride (A) at 105 C gives 2-acetyl-7-(2,3-epoxypropoxy)benzofuran (II), which is then condensed with isopropylamine (B) in refluxing ethanol. 2) By reaction of (I) with 1-chloro-3-isopropylamino-2-propanol (C) by means of NaOH at 80 C in a sealed tube. 3) By reductocondensation of 2-[1,1-(ethylenedioxy)ethyl]-7-[2-oxo-3-(hydroxyimino)propoxy]benzofuran (III) with acetone by means of H2 and PtO2 in ethanol, followed by hydrolysis of the reduced product with HCl in ethanol. 4) The reaction of 2-[1,1-(ethylenedioxy)ethyl]-7-glyoxylmethoxybenz-furan (IV) with isopropylamine (B) in ethanol gives the corresponding Schiff base (V), which is then reduced with NaBH4 and hydrolyzed with HCl in ethanol. 5) By hydrolysis of 3-isopropyl-5-(2-acetyl-7-benzofuryloxymethyl)oxazolidinone (VI) with aqueous refluxing NaOH. 6) By reaction of 2-acetyl-7-(2-hydroxy-3-aminopropoxy)benzofuran (VII) with isopropyl bromide (D) in ethanol at 100 C.

参考文献No.700877
标题:
作者:Ito, K.; Ikemoto, M.; Kimura, K.; Uchida, K.; Nakanishi, T.
来源:JP 7441358
合成路线图解说明:

Compound can be prepared in several different ways: 1) The reaction of 2-acetyl-7-hydroxybenzofuran (I) with epichlorohydrin by means of piperidine hydrochloride (A) at 105 C gives 2-acetyl-7-(2,3-epoxypropoxy)benzofuran (II), which is then condensed with isopropylamine (B) in refluxing ethanol. 2) By reaction of (I) with 1-chloro-3-isopropylamino-2-propanol (C) by means of NaOH at 80 C in a sealed tube. 3) By reductocondensation of 2-[1,1-(ethylenedioxy)ethyl]-7-[2-oxo-3-(hydroxyimino)propoxy]benzofuran (III) with acetone by means of H2 and PtO2 in ethanol, followed by hydrolysis of the reduced product with HCl in ethanol. 4) The reaction of 2-[1,1-(ethylenedioxy)ethyl]-7-glyoxylmethoxybenz-furan (IV) with isopropylamine (B) in ethanol gives the corresponding Schiff base (V), which is then reduced with NaBH4 and hydrolyzed with HCl in ethanol. 5) By hydrolysis of 3-isopropyl-5-(2-acetyl-7-benzofuryloxymethyl)oxazolidinone (VI) with aqueous refluxing NaOH. 6) By reaction of 2-acetyl-7-(2-hydroxy-3-aminopropoxy)benzofuran (VII) with isopropyl bromide (D) in ethanol at 100 C.

参考文献No.700878
标题:
作者:Ito, K.; Ikemoto, M.; Kimura, K.; Uchida, K.; Nakanishi, T.
来源:JP 7443961
合成路线图解说明:

Compound can be prepared in several different ways: 1) The reaction of 2-acetyl-7-hydroxybenzofuran (I) with epichlorohydrin by means of piperidine hydrochloride (A) at 105 C gives 2-acetyl-7-(2,3-epoxypropoxy)benzofuran (II), which is then condensed with isopropylamine (B) in refluxing ethanol. 2) By reaction of (I) with 1-chloro-3-isopropylamino-2-propanol (C) by means of NaOH at 80 C in a sealed tube. 3) By reductocondensation of 2-[1,1-(ethylenedioxy)ethyl]-7-[2-oxo-3-(hydroxyimino)propoxy]benzofuran (III) with acetone by means of H2 and PtO2 in ethanol, followed by hydrolysis of the reduced product with HCl in ethanol. 4) The reaction of 2-[1,1-(ethylenedioxy)ethyl]-7-glyoxylmethoxybenz-furan (IV) with isopropylamine (B) in ethanol gives the corresponding Schiff base (V), which is then reduced with NaBH4 and hydrolyzed with HCl in ethanol. 5) By hydrolysis of 3-isopropyl-5-(2-acetyl-7-benzofuryloxymethyl)oxazolidinone (VI) with aqueous refluxing NaOH. 6) By reaction of 2-acetyl-7-(2-hydroxy-3-aminopropoxy)benzofuran (VII) with isopropyl bromide (D) in ethanol at 100 C.

参考文献No.700879
标题:
作者:Ito, K.; Ikemoto, M.; Kimura, K.; Uchida, K.; Nakanishi, T.
来源:JP 7442664
合成路线图解说明:

Compound can be prepared in several different ways: 1) The reaction of 2-acetyl-7-hydroxybenzofuran (I) with epichlorohydrin by means of piperidine hydrochloride (A) at 105 C gives 2-acetyl-7-(2,3-epoxypropoxy)benzofuran (II), which is then condensed with isopropylamine (B) in refluxing ethanol. 2) By reaction of (I) with 1-chloro-3-isopropylamino-2-propanol (C) by means of NaOH at 80 C in a sealed tube. 3) By reductocondensation of 2-[1,1-(ethylenedioxy)ethyl]-7-[2-oxo-3-(hydroxyimino)propoxy]benzofuran (III) with acetone by means of H2 and PtO2 in ethanol, followed by hydrolysis of the reduced product with HCl in ethanol. 4) The reaction of 2-[1,1-(ethylenedioxy)ethyl]-7-glyoxylmethoxybenz-furan (IV) with isopropylamine (B) in ethanol gives the corresponding Schiff base (V), which is then reduced with NaBH4 and hydrolyzed with HCl in ethanol. 5) By hydrolysis of 3-isopropyl-5-(2-acetyl-7-benzofuryloxymethyl)oxazolidinone (VI) with aqueous refluxing NaOH. 6) By reaction of 2-acetyl-7-(2-hydroxy-3-aminopropoxy)benzofuran (VII) with isopropyl bromide (D) in ethanol at 100 C.

参考文献No.700880
标题:
作者:Ito, K.; Ikemoto, M.; Kimura, K.; Uchida, K.; Nakanishi, T.
来源:JP 7436664
合成路线图解说明:

Compound can be prepared in several different ways: 1) The reaction of 2-acetyl-7-hydroxybenzofuran (I) with epichlorohydrin by means of piperidine hydrochloride (A) at 105 C gives 2-acetyl-7-(2,3-epoxypropoxy)benzofuran (II), which is then condensed with isopropylamine (B) in refluxing ethanol. 2) By reaction of (I) with 1-chloro-3-isopropylamino-2-propanol (C) by means of NaOH at 80 C in a sealed tube. 3) By reductocondensation of 2-[1,1-(ethylenedioxy)ethyl]-7-[2-oxo-3-(hydroxyimino)propoxy]benzofuran (III) with acetone by means of H2 and PtO2 in ethanol, followed by hydrolysis of the reduced product with HCl in ethanol. 4) The reaction of 2-[1,1-(ethylenedioxy)ethyl]-7-glyoxylmethoxybenz-furan (IV) with isopropylamine (B) in ethanol gives the corresponding Schiff base (V), which is then reduced with NaBH4 and hydrolyzed with HCl in ethanol. 5) By hydrolysis of 3-isopropyl-5-(2-acetyl-7-benzofuryloxymethyl)oxazolidinone (VI) with aqueous refluxing NaOH. 6) By reaction of 2-acetyl-7-(2-hydroxy-3-aminopropoxy)benzofuran (VII) with isopropyl bromide (D) in ethanol at 100 C.

Drug Information Express,Drug R&D,Chemical Database,Patent Search.
Copyright © 2006-2026 Drug Future. All rights reserved.Contact Us