【药物名称】Astemizole, MJD-30, R-43512, Hismanal
化学结构式(Chemical Structure):
参考文献No.42729
标题:N-Heterocyclyl-4-piperidinamines
作者:Janssens, F.; Stokbroekx, R.; Torremans, J.; Luyckx, M. (Janssen Pharmaceutica NV)
来源:EP 0005318
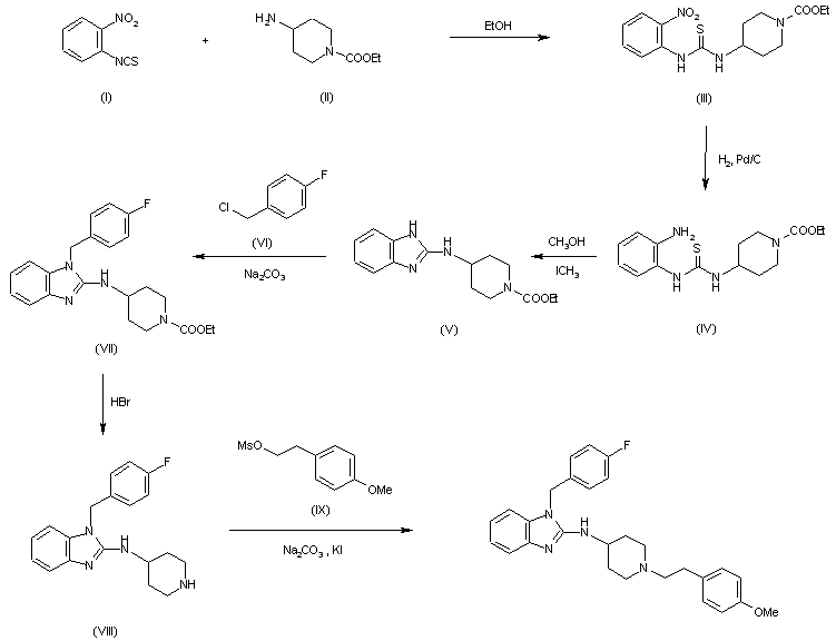
合成路线图解说明:

The reaction of 1-isothiocyanato-2-nitrobenzene (I) with ethyl 4-aminopiperidine-1-carboxylate (II) in ethanol gives N-(2-nitrophenyl)-N'-(1-ethoxycarbonyl-4-piperidyl)thiourea (III), which is reduced with H2 over Pd/C in methanol saturated with NH3 to afford N-(2-aminophenyl)-N'-(1-ethoxycarbonyl-4-piperidyl)thiourea (IV). The cyclization of (IV) with iodomethane in refluxing ethanol yields 2-(1-ethoxycarbonyl-4-piperidylamino)benzimidazole (V), which is then condensed with 4-fluorobenzyl chloride (VI) by means of Na2CO3 in hot DMF to yield 1-(fluorobenzyl)-2-(1-ethoxycarbonyl-4-piperidylamino)benzimidazole (VII). The decarboxylative hydrolysis of (VII) with 48% HBr in refluxing acetic acid gives 1-(p-fluorobenzyl)-2-(4-piperidylamino)benzimidazole (VIII), which is finally condensed with p-methoxyphenylethyl methanesulfonate (IX) by means of Na2CO3 - KI in hot DMF.

参考文献No.201778
标题:Astemizole
作者:Blancafort, P.; Hillier, K.; Serradell, M.N.; Casta馿r, J.
来源:Drugs Fut 1982,7(1),10
合成路线图解说明:

The reaction of 1-isothiocyanato-2-nitrobenzene (I) with ethyl 4-aminopiperidine-1-carboxylate (II) in ethanol gives N-(2-nitrophenyl)-N'-(1-ethoxycarbonyl-4-piperidyl)thiourea (III), which is reduced with H2 over Pd/C in methanol saturated with NH3 to afford N-(2-aminophenyl)-N'-(1-ethoxycarbonyl-4-piperidyl)thiourea (IV). The cyclization of (IV) with iodomethane in refluxing ethanol yields 2-(1-ethoxycarbonyl-4-piperidylamino)benzimidazole (V), which is then condensed with 4-fluorobenzyl chloride (VI) by means of Na2CO3 in hot DMF to yield 1-(fluorobenzyl)-2-(1-ethoxycarbonyl-4-piperidylamino)benzimidazole (VII). The decarboxylative hydrolysis of (VII) with 48% HBr in refluxing acetic acid gives 1-(p-fluorobenzyl)-2-(4-piperidylamino)benzimidazole (VIII), which is finally condensed with p-methoxyphenylethyl methanesulfonate (IX) by means of Na2CO3 - KI in hot DMF.

Drug Information Express,Drug R&D,Chemical Database,Patent Search.
Copyright © 2006-2026 Drug Future. All rights reserved.Contact Us