【药物名称】Isocainide hydrochloride, Socainide hydrochloride, Lorcainide hydrochloride, R-15,889, Remivox
化学结构式(Chemical Structure):
参考文献No.199357
标题:Lorcainide hydrochloride
作者:Casta馿r, J.; Weetman, D.F.
来源:Drugs Fut 1978,3(7),518
合成路线图解说明:

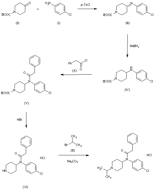
The reaction of p-chloroaniline (I) with ethyl 4-oxopiperidine-1-carboxylate (II) by means of tosyl chloride in refluxing toluene gives ethyl 4-(p-chlorophenylimino)piperidine-1-carboxylate (III), which is reduced with NaBH4 in refluxing methanol to afford ethyl 4-(p-chloroanilino)piperidine-1-carboxylate (IV). The acylation of (IV) with phenylacetyl chloride (A) in refluxing benzene yields ethyl 4-[N-(p-chlorophenyl)-N-(phenylacetyl)amino]piperidine-1-carboxylate (V), which is decarboxylated with hot aqueous HBr giving N-(p-chlorophenyl)-N-(piperidin-4-yl)phenylacetamide hydrochloride (VI). Finally, this compound is alkylated with 2-bromopropane (B) and Na2CO3 in refluxing butanol.

参考文献No.701040
标题:N-aryl-N-(1-L-4-piperidinyl)-arylacetamides
作者:Hermans, H.K.; Sanczuk, S.
来源:BE 0846473; US 4151286; US 4157393; ZA 7605684
合成路线图解说明:

The reaction of p-chloroaniline (I) with ethyl 4-oxopiperidine-1-carboxylate (II) by means of tosyl chloride in refluxing toluene gives ethyl 4-(p-chlorophenylimino)piperidine-1-carboxylate (III), which is reduced with NaBH4 in refluxing methanol to afford ethyl 4-(p-chloroanilino)piperidine-1-carboxylate (IV). The acylation of (IV) with phenylacetyl chloride (A) in refluxing benzene yields ethyl 4-[N-(p-chlorophenyl)-N-(phenylacetyl)amino]piperidine-1-carboxylate (V), which is decarboxylated with hot aqueous HBr giving N-(p-chlorophenyl)-N-(piperidin-4-yl)phenylacetamide hydrochloride (VI). Finally, this compound is alkylated with 2-bromopropane (B) and Na2CO3 in refluxing butanol.

Drug Information Express,Drug R&D,Chemical Database,Patent Search.
Copyright © 2006-2026 Drug Future. All rights reserved.Contact Us