【药物名称】Demexiptiline hydrochloride, Deparon
化学结构式(Chemical Structure):
参考文献No.46746
标题:Basic oximes and their preparation
作者:Schuetz, S.; Behner, O.; Hoffmeister, F. (Bayer AG)
来源:DE 1247302; FR 1500629; GB 1104609; US 3963778; US 3989844
合成路线图解说明:

By reaction of 5H-dibenzo[a,d]cyclohepten-5-one oxime (I) with beta-methylaminoethyl chloride (II) in a solution of sodium in methanol.

参考文献No.201773
标题:Demexiptiline hydrochloride
作者:Casta馿r, J.; Serradell, M.N.; Blancafort, P.
来源:Drugs Fut 1982,7(1),19
合成路线图解说明:

By reaction of 5H-dibenzo[a,d]cyclohepten-5-one oxime (I) with beta-methylaminoethyl chloride (II) in a solution of sodium in methanol.

合成路线图解说明:

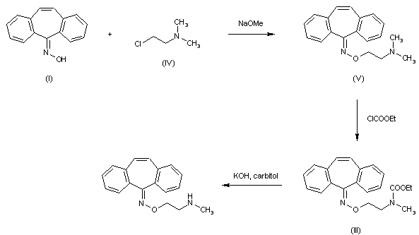
By decomposition of O-beta-(N-methyl-N-carbethoxy)aminoethyl-5H-dibenzo[a,d]cyclohepten-5-one oxime (III) with KOH in carbitol. Compound (III) can be prepared as follows: 5H-ibenzo[a,d]cyclohepten-5-one oxime (I) is treated with beta-dimethylaminoethyl chloride (IV) in sodium methoxide to give O-beta-dimethylaminoethyl-5H-dibenzo[a,d]cyclohepten-5-one oxime (V), which is treated with ethyl chlorocarbonate in anhydrous benzene.

合成路线图解说明:

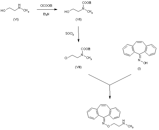
beta-Methylaminoethanol (VI) is treated with ethyl chlorocarbonate in triethylamine to give ethyl N-methyl-hydroxyethylcarbamate (VII), which is treated with thionyl chloride to give ethyl-N-methyl-beta-chloroethylcarbamate (VIII). Compound (VIII) is treated with 5H-dibenzo[a,d]cyclohepten-5-one oxime (I) and the resulting product is decomposed without isolation.

参考文献No.604465
标题:Basic tricyclic oximino ether and their pharmacological properties
作者:Behner, O.; Aichinger, G.; Hoffmeister, F.; Schuetz, S.
来源:Arzneim-Forsch Drug Res 1969,19(5a),838-845
合成路线图解说明:

By reaction of 5H-dibenzo[a,d]cyclohepten-5-one oxime (I) with beta-methylaminoethyl chloride (II) in a solution of sodium in methanol.

参考文献No.800175
标题:O- And N- substituted 5H-dibenzo[a,d]cyclohepten-5-one oximes with thymoleptic acticity. VII. Synthesis and pharmacological properties of the substituted oximes
作者:Pirola, O.; Rossi, S.; Fanelli, O.; Maggi, R.
来源:Farm Sci Ed 1969,24(7),685-703
合成路线图解说明:

By decomposition of O-beta-(N-methyl-N-carbethoxy)aminoethyl-5H-dibenzo[a,d]cyclohepten-5-one oxime (III) with KOH in carbitol. Compound (III) can be prepared as follows: 5H-ibenzo[a,d]cyclohepten-5-one oxime (I) is treated with beta-dimethylaminoethyl chloride (IV) in sodium methoxide to give O-beta-dimethylaminoethyl-5H-dibenzo[a,d]cyclohepten-5-one oxime (V), which is treated with ethyl chlorocarbonate in anhydrous benzene.

合成路线图解说明:

beta-Methylaminoethanol (VI) is treated with ethyl chlorocarbonate in triethylamine to give ethyl N-methyl-hydroxyethylcarbamate (VII), which is treated with thionyl chloride to give ethyl-N-methyl-beta-chloroethylcarbamate (VIII). Compound (VIII) is treated with 5H-dibenzo[a,d]cyclohepten-5-one oxime (I) and the resulting product is decomposed without isolation.

Drug Information Express,Drug R&D,Chemical Database,Patent Search.
Copyright © 2006-2026 Drug Future. All rights reserved.Contact Us