【药物名称】Azurene, Bromperidol, R-11333, Impromen
化学结构式(Chemical Structure):
参考文献No.579692
标题:Synthesis of [82Br]bromperidol and preliminary tissue distribution studies in the rat
作者:Vincent, S.H.; Shambhu, M.B.; Digenis, G.A.
来源:J Med Chem 1980,23(1),75
合成路线图解说明:

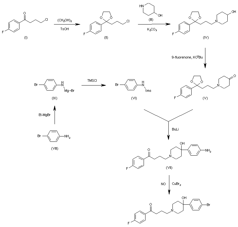
The reaction of 4-chloro-1-(4-fluorophenyl)-1-butanone (I) with ethylene glycol and p-toluenesulfonic acid in refluxing benzene gives the corresponding ethyleneketal (II), which is condensed with 4-hydroxypiperidine (III) by means of K2CO3 in hot DMF yielding 1-(4-fluorophenyl)-4-(4-hydroxypiperidin-1-yl)-1-butanone ethyleneketal (IV). The Oppenauer oxidation of (IV) with 9-fluorenone and potassium tert-butoxide in hot benzene affords the piperidinone (V), which is condensed with 4-bromo-N-(trimethylsilyl)aniline (VI) by means of BuLi in hot hexane to give 4-[4-(4-aminophenyl)-4-hydroxypiperidin-1-yl]-1-(4-fluorophenyl)-1-butanone (VII). Finally, this compound is treated with CuBr2 and NO in THF.

合成路线图解说明:

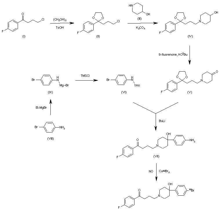
The reaction of 4-chloro-1-(4-fluorophenyl)-1-butanone (I) with ethylene glycol and p-toluenesulfonic acid in refluxing benzene gives the corresponding ethylene-ketal (II), which is condensed with 4-hydroxypiperidine (III) by means of K2CO3 in hot DMF yielding 1-(4-fluorophenyl)-4-(4-hydroxypiperidin-1-yl)-1-butanone ethyle-neketal (IV). The Oppenauer oxidation of (IV) with 9-fluorenone and potassium tert-butoxide in hot benzene affords the piperidinone (V), which is condensed with 4-bromo-N-(trimethylsilyl)aniline (VI) by means of BuLi in hot hexane to give 4-[4-(4-aminophenyl)-4-hydroxypiperidin-1-yl]-1-(4-fluorophenyl)-1-butanone (VII). Finally, this compound is treated with Cu82Br2 and NO in THF.

参考文献No.579694
标题:Synthesis of high specific activity [75Br]- and [77Br]-bromperidol and tissue distribution studies in the rat
作者:Moerlein, S.M.; St鯿klin, G.L.
来源:J Med Chem 1985,28(9),1319
合成路线图解说明:

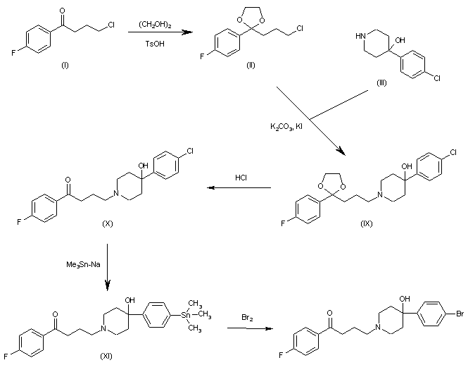
The reaction of 4-chloro-1-(4-fluorophenyl)-1-butanone (I) with ethylene glycol and p-toluenesulfonic acid in refluxing benzene gives the corresponding ethyleneketal (II), which is condensed with 4-(chlorophenyl)-4-hydroxypiperidine (VIII) by means of K2CO3 in hot DMF yielding 4-[4-(4-chlorophenyl)-4-hydroxypiperidin-1-yl]-1-(4-fluorophenyl)-1-butanone ethyleneketal (IX). The reaction of (IX) with HCl in methanol yields the corresponding free butanone (X), which is treated with trimethylstannyl sodium in glyme to afford the expected stannyl derivative (XI). Finally, this compound is treated with Br2 in chloroform.

合成路线图解说明:

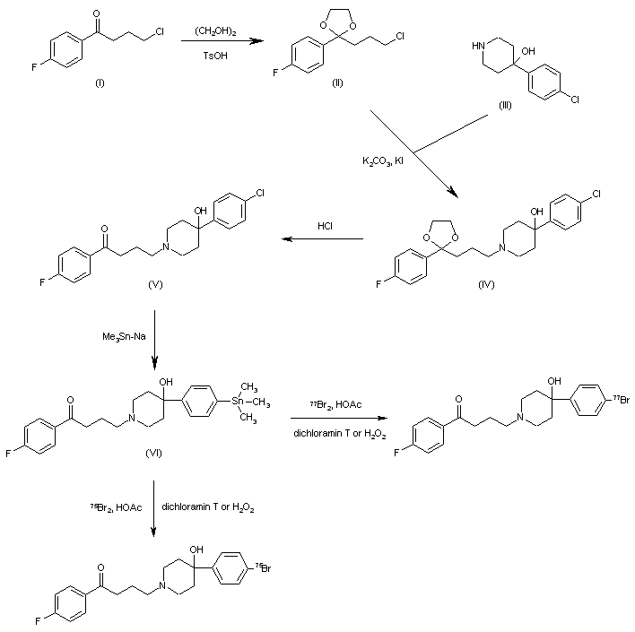
The reaction of 4-chloro-1-(4-fluorophenyl)-1-butanone (I) with ethylene glycol and p-toluenesulfonic acid in refluxing benzene gives the corresponding ethylene-ketal (II), which is condensed with 4-(chlorophenyl)-4-hydroxypiperidine (III) by means of K2CO3 in hot DMF yielding 4-[4-(4-chlorophenyl)-4-hydroxypiperidin-1-yl]-1-(4-fluorophenyl)-1-butanone ethyleneketal (IV). The reaction of (IV) with HCl in methanol yields the corresponding free butanone (V), which is treated with trimethylstannyl sodium in glyme to afford the expected stannyl derivative (VI). Finally, this compound is treated with 75Br2 or 77Br2 and dichloramin T in methanol or H2O2 in acetic acid.

Drug Information Express,Drug R&D,Chemical Database,Patent Search.
Copyright © 2006-2026 Drug Future. All rights reserved.Contact Us