【药物名称】Tramadol hydrochloride, TRK-091, CG-315E, K-315, U-26225A, NS-315, Tradonal Retard, Ultram, Tramal, Contramal, Ralivia FlashDose, Limadol, Tramundin Retard, Tramadol Flashtab, Zamadol SR, Ralivia, Zydol
化学结构式(Chemical Structure):
参考文献No.53568
标题:Process for the purification of 2-[(dimethylamino)methyl]-1-(3-methoxyphenyl)cyclohexanol and its salts
作者:Cherkez, S.; Lerman, O.; Tennenbaum, M.; Avner, H.; Kunyevski, T.
来源:US 5414129
合成路线图解说明:

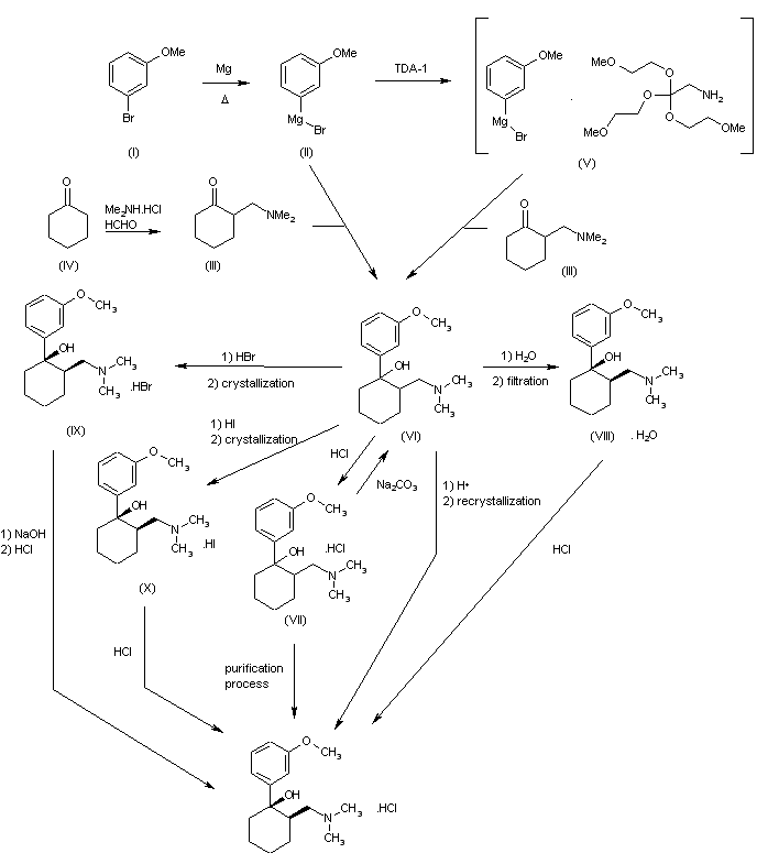
Reaction of 3-bromoanisole (I) with Mg turnings in refluxing THF provides Grignard reagent (II), which is converted into tramadol base (VI) by treatment with Mannich base (III) (obtained in turn via Mannich reaction of cyclohexanone (IV) with dimethylamine hydrochloride and formaldehyde). Alternatively, the transformation of (II) into (VI) can be performed by first treatment of (II) with additive TDA-1 (tris(2-(2-methoxyethoxy)ethylamine) to form complex (V), followed by addition of Mannich base (III). Alternatively, the additive used can be replaced by the following reagents: 1-methylimidazole, diglyme, 4-methylmorpholine, diazabicyclo(5.4.0)undec-7-ene, triethylamine, N,N,N',N',N''-pentamethyldiethylenetriamine, pyridine, 1,2-dimethylimidazole, 1-methylpyrrolidine, 1,4-dimethylpiperazine, pyrazine, S-(-)-nicotine, 1-methylpyrrole, 4-methoxypyridine, quinoline, 1,5-diazabicyclo(4.3.0)non-5-ene, 1-benzylimidazole or 1-butylimidazole. Once tramadol base (VI) is obtained, treatment with HCl in acetonitrile or isopropanol allows formation of the corresponding hydrochloride salt as an isomeric mixture of the trans/cis forms (VII). The desired isomer cis-(XII) can be obtained by many different routes: (a) recrystallization of (VII) from acetonitrile. (b) recrystallization of (VII) from dioxane/H2O. (c) recrystallization of (VII) from isopropanol. (d) heating of the mixture (VI) with p-toluenesulfonic acid or phosphoric acid or formic acid, followed by a recrystallization process. (e) treatment of (VII) with acetic anhydride in DMF, followed by crystallization from isopropanol. (f) treatment of (VII) with thionyl chloride in chlorobenzene, followed by crystallization from isopropanol. (g) treatment of (VII) with trifluoroacetic acid and sodium azide, followed by basification with K2CO3 and final recrystallization from isopropanol. (h) formation of tramadol hydrate (VIII) by treatment with water in diisopropyl ether, followed by hydrochloride formation with HCl. (i) formation of tramadol hydrobromide (IX) by treatment with hydrobromic acid, filtration of the solid obtained, obtaining of the free base by treatment with NaOH (5) and final conversion into the hydrochloride form by means of HCl. (j) formation of tramadol hydroiodide (X) by treatment with hydroiodic acid, filtration of the solid obtained and final conversion into the hydrochloride form by means of HCl.

参考文献No.53569
标题:Process for the purification of (RR,SS)-2-dimethylaminomethyl-(1-(3-methoxyphenyl)cyclohexanol and its salts
作者:Gal, E.; Lerman, O.; Tennenbaum, M.; Kaspi, J.
来源:EP 0778262
合成路线图解说明:

Reaction of 3-bromoanisole (I) with Mg turnings in refluxing THF provides Grignard reagent (II), which is converted into tramadol base (VI) by treatment with Mannich base (III) (obtained in turn via Mannich reaction of cyclohexanone (IV) with dimethylamine hydrochloride and formaldehyde). Alternatively, the transformation of (II) into (VI) can be performed by first treatment of (II) with additive TDA-1 (tris(2-(2-methoxyethoxy)ethylamine) to form complex (V), followed by addition of Mannich base (III). Alternatively, the additive used can be replaced by the following reagents: 1-methylimidazole, diglyme, 4-methylmorpholine, diazabicyclo(5.4.0)undec-7-ene, triethylamine, N,N,N',N',N''-pentamethyldiethylenetriamine, pyridine, 1,2-dimethylimidazole, 1-methylpyrrolidine, 1,4-dimethylpiperazine, pyrazine, S-(-)-nicotine, 1-methylpyrrole, 4-methoxypyridine, quinoline, 1,5-diazabicyclo(4.3.0)non-5-ene, 1-benzylimidazole or 1-butylimidazole. Once tramadol base (VI) is obtained, treatment with HCl in acetonitrile or isopropanol allows formation of the corresponding hydrochloride salt as an isomeric mixture of the trans/cis forms (VII). The desired isomer cis-(XII) can be obtained by many different routes: (a) recrystallization of (VII) from acetonitrile. (b) recrystallization of (VII) from dioxane/H2O. (c) recrystallization of (VII) from isopropanol. (d) heating of the mixture (VI) with p-toluenesulfonic acid or phosphoric acid or formic acid, followed by a recrystallization process. (e) treatment of (VII) with acetic anhydride in DMF, followed by crystallization from isopropanol. (f) treatment of (VII) with thionyl chloride in chlorobenzene, followed by crystallization from isopropanol. (g) treatment of (VII) with trifluoroacetic acid and sodium azide, followed by basification with K2CO3 and final recrystallization from isopropanol. (h) formation of tramadol hydrate (VIII) by treatment with water in diisopropyl ether, followed by hydrochloride formation with HCl. (i) formation of tramadol hydrobromide (IX) by treatment with hydrobromic acid, filtration of the solid obtained, obtaining of the free base by treatment with NaOH (5) and final conversion into the hydrochloride form by means of HCl. (j) formation of tramadol hydroiodide (X) by treatment with hydroiodic acid, filtration of the solid obtained and final conversion into the hydrochloride form by means of HCl.

参考文献No.53570
标题:1-(m-Substd. phenyl)-2-aminomethyl cyclohexanols
作者:Flick, K.; Frankus, E. (Gr黱enthal GmbH)
来源:US 3652589
合成路线图解说明:

Reaction of 3-bromoanisole (I) with Mg turnings in refluxing THF provides Grignard reagent (II), which is converted into tramadol base (VI) by treatment with Mannich base (III) (obtained in turn via Mannich reaction of cyclohexanone (IV) with dimethylamine hydrochloride and formaldehyde). Alternatively, the transformation of (II) into (VI) can be performed by first treatment of (II) with additive TDA-1 (tris(2-(2-methoxyethoxy)ethylamine) to form complex (V), followed by addition of Mannich base (III). Alternatively, the additive used can be replaced by the following reagents: 1-methylimidazole, diglyme, 4-methylmorpholine, diazabicyclo(5.4.0)undec-7-ene, triethylamine, N,N,N',N',N''-pentamethyldiethylenetriamine, pyridine, 1,2-dimethylimidazole, 1-methylpyrrolidine, 1,4-dimethylpiperazine, pyrazine, S-(-)-nicotine, 1-methylpyrrole, 4-methoxypyridine, quinoline, 1,5-diazabicyclo(4.3.0)non-5-ene, 1-benzylimidazole or 1-butylimidazole. Once tramadol base (VI) is obtained, treatment with HCl in acetonitrile or isopropanol allows formation of the corresponding hydrochloride salt as an isomeric mixture of the trans/cis forms (VII). The desired isomer cis-(XII) can be obtained by many different routes: (a) recrystallization of (VII) from acetonitrile. (b) recrystallization of (VII) from dioxane/H2O. (c) recrystallization of (VII) from isopropanol. (d) heating of the mixture (VI) with p-toluenesulfonic acid or phosphoric acid or formic acid, followed by a recrystallization process. (e) treatment of (VII) with acetic anhydride in DMF, followed by crystallization from isopropanol. (f) treatment of (VII) with thionyl chloride in chlorobenzene, followed by crystallization from isopropanol. (g) treatment of (VII) with trifluoroacetic acid and sodium azide, followed by basification with K2CO3 and final recrystallization from isopropanol. (h) formation of tramadol hydrate (VIII) by treatment with water in diisopropyl ether, followed by hydrochloride formation with HCl. (i) formation of tramadol hydrobromide (IX) by treatment with hydrobromic acid, filtration of the solid obtained, obtaining of the free base by treatment with NaOH (5) and final conversion into the hydrochloride form by means of HCl. (j) formation of tramadol hydroiodide (X) by treatment with hydroiodic acid, filtration of the solid obtained and final conversion into the hydrochloride form by means of HCl.

参考文献No.53571
标题:Purification of tramadol
作者:Mitchell, M.; Archer, N.; Hurley, B.; Ogden, H.
来源:WO 9936389
合成路线图解说明:

Reaction of 3-bromoanisole (I) with Mg turnings in refluxing THF provides Grignard reagent (II), which is converted into tramadol base (VI) by treatment with Mannich base (III) (obtained in turn via Mannich reaction of cyclohexanone (IV) with dimethylamine hydrochloride and formaldehyde). Alternatively, the transformation of (II) into (VI) can be performed by first treatment of (II) with additive TDA-1 (tris(2-(2-methoxyethoxy)ethylamine) to form complex (V), followed by addition of Mannich base (III). Alternatively, the additive used can be replaced by the following reagents: 1-methylimidazole, diglyme, 4-methylmorpholine, diazabicyclo(5.4.0)undec-7-ene, triethylamine, N,N,N',N',N''-pentamethyldiethylenetriamine, pyridine, 1,2-dimethylimidazole, 1-methylpyrrolidine, 1,4-dimethylpiperazine, pyrazine, S-(-)-nicotine, 1-methylpyrrole, 4-methoxypyridine, quinoline, 1,5-diazabicyclo(4.3.0)non-5-ene, 1-benzylimidazole or 1-butylimidazole. Once tramadol base (VI) is obtained, treatment with HCl in acetonitrile or isopropanol allows formation of the corresponding hydrochloride salt as an isomeric mixture of the trans/cis forms (VII). The desired isomer cis-(XII) can be obtained by many different routes: (a) recrystallization of (VII) from acetonitrile. (b) recrystallization of (VII) from dioxane/H2O. (c) recrystallization of (VII) from isopropanol. (d) heating of the mixture (VI) with p-toluenesulfonic acid or phosphoric acid or formic acid, followed by a recrystallization process. (e) treatment of (VII) with acetic anhydride in DMF, followed by crystallization from isopropanol. (f) treatment of (VII) with thionyl chloride in chlorobenzene, followed by crystallization from isopropanol. (g) treatment of (VII) with trifluoroacetic acid and sodium azide, followed by basification with K2CO3 and final recrystallization from isopropanol. (h) formation of tramadol hydrate (VIII) by treatment with water in diisopropyl ether, followed by hydrochloride formation with HCl. (i) formation of tramadol hydrobromide (IX) by treatment with hydrobromic acid, filtration of the solid obtained, obtaining of the free base by treatment with NaOH (5) and final conversion into the hydrochloride form by means of HCl. (j) formation of tramadol hydroiodide (X) by treatment with hydroiodic acid, filtration of the solid obtained and final conversion into the hydrochloride form by means of HCl.

参考文献No.53572
标题:Preparation and purification process for 2-[(dimethylamino)methyl]-1-(3-methoxyphenyl)cyclohexanol and its salts
作者:Anderson, K.E.
来源:US 5877351
合成路线图解说明:

Reaction of 3-bromoanisole (I) with Mg turnings in refluxing THF provides Grignard reagent (II), which is converted into tramadol base (VI) by treatment with Mannich base (III) (obtained in turn via Mannich reaction of cyclohexanone (IV) with dimethylamine hydrochloride and formaldehyde). Alternatively, the transformation of (II) into (VI) can be performed by first treatment of (II) with additive TDA-1 (tris(2-(2-methoxyethoxy)ethylamine) to form complex (V), followed by addition of Mannich base (III). Alternatively, the additive used can be replaced by the following reagents: 1-methylimidazole, diglyme, 4-methylmorpholine, diazabicyclo(5.4.0)undec-7-ene, triethylamine, N,N,N',N',N''-pentamethyldiethylenetriamine, pyridine, 1,2-dimethylimidazole, 1-methylpyrrolidine, 1,4-dimethylpiperazine, pyrazine, S-(-)-nicotine, 1-methylpyrrole, 4-methoxypyridine, quinoline, 1,5-diazabicyclo(4.3.0)non-5-ene, 1-benzylimidazole or 1-butylimidazole. Once tramadol base (VI) is obtained, treatment with HCl in acetonitrile or isopropanol allows formation of the corresponding hydrochloride salt as an isomeric mixture of the trans/cis forms (VII). The desired isomer cis-(XII) can be obtained by many different routes: (a) recrystallization of (VII) from acetonitrile. (b) recrystallization of (VII) from dioxane/H2O. (c) recrystallization of (VII) from isopropanol. (d) heating of the mixture (VI) with p-toluenesulfonic acid or phosphoric acid or formic acid, followed by a recrystallization process. (e) treatment of (VII) with acetic anhydride in DMF, followed by crystallization from isopropanol. (f) treatment of (VII) with thionyl chloride in chlorobenzene, followed by crystallization from isopropanol. (g) treatment of (VII) with trifluoroacetic acid and sodium azide, followed by basification with K2CO3 and final recrystallization from isopropanol. (h) formation of tramadol hydrate (VIII) by treatment with water in diisopropyl ether, followed by hydrochloride formation with HCl. (i) formation of tramadol hydrobromide (IX) by treatment with hydrobromic acid, filtration of the solid obtained, obtaining of the free base by treatment with NaOH (5) and final conversion into the hydrochloride form by means of HCl. (j) formation of tramadol hydroiodide (X) by treatment with hydroiodic acid, filtration of the solid obtained and final conversion into the hydrochloride form by means of HCl.

参考文献No.53573
标题:Purification of tramadol
作者:Mitchell, M.; Archer, N.; Ogden, H.; Cairns, S.
来源:WO 9936390
合成路线图解说明:

Reaction of 3-bromoanisole (I) with Mg turnings in refluxing THF provides Grignard reagent (II), which is converted into tramadol base (VI) by treatment with Mannich base (III) (obtained in turn via Mannich reaction of cyclohexanone (IV) with dimethylamine hydrochloride and formaldehyde). Alternatively, the transformation of (II) into (VI) can be performed by first treatment of (II) with additive TDA-1 (tris(2-(2-methoxyethoxy)ethylamine) to form complex (V), followed by addition of Mannich base (III). Alternatively, the additive used can be replaced by the following reagents: 1-methylimidazole, diglyme, 4-methylmorpholine, diazabicyclo(5.4.0)undec-7-ene, triethylamine, N,N,N',N',N''-pentamethyldiethylenetriamine, pyridine, 1,2-dimethylimidazole, 1-methylpyrrolidine, 1,4-dimethylpiperazine, pyrazine, S-(-)-nicotine, 1-methylpyrrole, 4-methoxypyridine, quinoline, 1,5-diazabicyclo(4.3.0)non-5-ene, 1-benzylimidazole or 1-butylimidazole. Once tramadol base (VI) is obtained, treatment with HCl in acetonitrile or isopropanol allows formation of the corresponding hydrochloride salt as an isomeric mixture of the trans/cis forms (VII). The desired isomer cis-(XII) can be obtained by many different routes: (a) recrystallization of (VII) from acetonitrile. (b) recrystallization of (VII) from dioxane/H2O. (c) recrystallization of (VII) from isopropanol. (d) heating of the mixture (VI) with p-toluenesulfonic acid or phosphoric acid or formic acid, followed by a recrystallization process. (e) treatment of (VII) with acetic anhydride in DMF, followed by crystallization from isopropanol. (f) treatment of (VII) with thionyl chloride in chlorobenzene, followed by crystallization from isopropanol. (g) treatment of (VII) with trifluoroacetic acid and sodium azide, followed by basification with K2CO3 and final recrystallization from isopropanol. (h) formation of tramadol hydrate (VIII) by treatment with water in diisopropyl ether, followed by hydrochloride formation with HCl. (i) formation of tramadol hydrobromide (IX) by treatment with hydrobromic acid, filtration of the solid obtained, obtaining of the free base by treatment with NaOH (5) and final conversion into the hydrochloride form by means of HCl. (j) formation of tramadol hydroiodide (X) by treatment with hydroiodic acid, filtration of the solid obtained and final conversion into the hydrochloride form by means of HCl.

参考文献No.53574
标题:An improved synthesis and purification of (R*,R*)-2-[(dimethylamino)methyl]-1-(3-methoxyphenyl)cyclohexanol hydrochloride
作者:Jarvi, E.T.; Grayson, N.A.; Halvachs, R.E. (Mallinckrodt Medical Inc.)
来源:WO 9961405
合成路线图解说明:

Reaction of 3-bromoanisole (I) with Mg turnings in refluxing THF provides Grignard reagent (II), which is converted into tramadol base (VI) by treatment with Mannich base (III) (obtained in turn via Mannich reaction of cyclohexanone (IV) with dimethylamine hydrochloride and formaldehyde). Alternatively, the transformation of (II) into (VI) can be performed by first treatment of (II) with additive TDA-1 (tris(2-(2-methoxyethoxy)ethylamine) to form complex (V), followed by addition of Mannich base (III). Alternatively, the additive used can be replaced by the following reagents: 1-methylimidazole, diglyme, 4-methylmorpholine, diazabicyclo(5.4.0)undec-7-ene, triethylamine, N,N,N',N',N''-pentamethyldiethylenetriamine, pyridine, 1,2-dimethylimidazole, 1-methylpyrrolidine, 1,4-dimethylpiperazine, pyrazine, S-(-)-nicotine, 1-methylpyrrole, 4-methoxypyridine, quinoline, 1,5-diazabicyclo(4.3.0)non-5-ene, 1-benzylimidazole or 1-butylimidazole. Once tramadol base (VI) is obtained, treatment with HCl in acetonitrile or isopropanol allows formation of the corresponding hydrochloride salt as an isomeric mixture of the trans/cis forms (VII). The desired isomer cis-(XII) can be obtained by many different routes: (a) recrystallization of (VII) from acetonitrile. (b) recrystallization of (VII) from dioxane/H2O. (c) recrystallization of (VII) from isopropanol. (d) heating of the mixture (VI) with p-toluenesulfonic acid or phosphoric acid or formic acid, followed by a recrystallization process. (e) treatment of (VII) with acetic anhydride in DMF, followed by crystallization from isopropanol. (f) treatment of (VII) with thionyl chloride in chlorobenzene, followed by crystallization from isopropanol. (g) treatment of (VII) with trifluoroacetic acid and sodium azide, followed by basification with K2CO3 and final recrystallization from isopropanol. (h) formation of tramadol hydrate (VIII) by treatment with water in diisopropyl ether, followed by hydrochloride formation with HCl. (i) formation of tramadol hydrobromide (IX) by treatment with hydrobromic acid, filtration of the solid obtained, obtaining of the free base by treatment with NaOH (5) and final conversion into the hydrochloride form by means of HCl. (j) formation of tramadol hydroiodide (X) by treatment with hydroiodic acid, filtration of the solid obtained and final conversion into the hydrochloride form by means of HCl.

参考文献No.53575
标题:Process for the separation of the (RR,SS)-2-(dimethylamino)methyl-1-(3-methoxyphenyl)cyclohexanol isomer from the (RS,SR) isomer by selective precipitation
作者:Cabri, W.; Magrone, D.
来源:EP 0940385
合成路线图解说明:

Reaction of 3-bromoanisole (I) with Mg turnings in refluxing THF provides Grignard reagent (II), which is converted into tramadol base (VI) by treatment with Mannich base (III) (obtained in turn via Mannich reaction of cyclohexanone (IV) with dimethylamine hydrochloride and formaldehyde). Alternatively, the transformation of (II) into (VI) can be performed by first treatment of (II) with additive TDA-1 (tris(2-(2-methoxyethoxy)ethylamine) to form complex (V), followed by addition of Mannich base (III). Alternatively, the additive used can be replaced by the following reagents: 1-methylimidazole, diglyme, 4-methylmorpholine, diazabicyclo(5.4.0)undec-7-ene, triethylamine, N,N,N',N',N''-pentamethyldiethylenetriamine, pyridine, 1,2-dimethylimidazole, 1-methylpyrrolidine, 1,4-dimethylpiperazine, pyrazine, S-(-)-nicotine, 1-methylpyrrole, 4-methoxypyridine, quinoline, 1,5-diazabicyclo(4.3.0)non-5-ene, 1-benzylimidazole or 1-butylimidazole. Once tramadol base (VI) is obtained, treatment with HCl in acetonitrile or isopropanol allows formation of the corresponding hydrochloride salt as an isomeric mixture of the trans/cis forms (VII). The desired isomer cis-(XII) can be obtained by many different routes: (a) recrystallization of (VII) from acetonitrile. (b) recrystallization of (VII) from dioxane/H2O. (c) recrystallization of (VII) from isopropanol. (d) heating of the mixture (VI) with p-toluenesulfonic acid or phosphoric acid or formic acid, followed by a recrystallization process. (e) treatment of (VII) with acetic anhydride in DMF, followed by crystallization from isopropanol. (f) treatment of (VII) with thionyl chloride in chlorobenzene, followed by crystallization from isopropanol. (g) treatment of (VII) with trifluoroacetic acid and sodium azide, followed by basification with K2CO3 and final recrystallization from isopropanol. (h) formation of tramadol hydrate (VIII) by treatment with water in diisopropyl ether, followed by hydrochloride formation with HCl. (i) formation of tramadol hydrobromide (IX) by treatment with hydrobromic acid, filtration of the solid obtained, obtaining of the free base by treatment with NaOH (5) and final conversion into the hydrochloride form by means of HCl. (j) formation of tramadol hydroiodide (X) by treatment with hydroiodic acid, filtration of the solid obtained and final conversion into the hydrochloride form by means of HCl.

参考文献No.53576
标题:Process for the purification of (RR,SS)-2-dimethylaminomethyl)-1-(3-methoxyphenyl)cyclohexanol hydrochloride
作者:Lerman, O.; Kaspi, J.; Brenner, D.
来源:EP 0831082
合成路线图解说明:

Reaction of 3-bromoanisole (I) with Mg turnings in refluxing THF provides Grignard reagent (II), which is converted into tramadol base (VI) by treatment with Mannich base (III) (obtained in turn via Mannich reaction of cyclohexanone (IV) with dimethylamine hydrochloride and formaldehyde). Alternatively, the transformation of (II) into (VI) can be performed by first treatment of (II) with additive TDA-1 (tris(2-(2-methoxyethoxy)ethylamine) to form complex (V), followed by addition of Mannich base (III). Alternatively, the additive used can be replaced by the following reagents: 1-methylimidazole, diglyme, 4-methylmorpholine, diazabicyclo(5.4.0)undec-7-ene, triethylamine, N,N,N',N',N''-pentamethyldiethylenetriamine, pyridine, 1,2-dimethylimidazole, 1-methylpyrrolidine, 1,4-dimethylpiperazine, pyrazine, S-(-)-nicotine, 1-methylpyrrole, 4-methoxypyridine, quinoline, 1,5-diazabicyclo(4.3.0)non-5-ene, 1-benzylimidazole or 1-butylimidazole. Once tramadol base (VI) is obtained, treatment with HCl in acetonitrile or isopropanol allows formation of the corresponding hydrochloride salt as an isomeric mixture of the trans/cis forms (VII). The desired isomer cis-(XII) can be obtained by many different routes: (a) recrystallization of (VII) from acetonitrile. (b) recrystallization of (VII) from dioxane/H2O. (c) recrystallization of (VII) from isopropanol. (d) heating of the mixture (VI) with p-toluenesulfonic acid or phosphoric acid or formic acid, followed by a recrystallization process. (e) treatment of (VII) with acetic anhydride in DMF, followed by crystallization from isopropanol. (f) treatment of (VII) with thionyl chloride in chlorobenzene, followed by crystallization from isopropanol. (g) treatment of (VII) with trifluoroacetic acid and sodium azide, followed by basification with K2CO3 and final recrystallization from isopropanol. (h) formation of tramadol hydrate (VIII) by treatment with water in diisopropyl ether, followed by hydrochloride formation with HCl. (i) formation of tramadol hydrobromide (IX) by treatment with hydrobromic acid, filtration of the solid obtained, obtaining of the free base by treatment with NaOH (5) and final conversion into the hydrochloride form by means of HCl. (j) formation of tramadol hydroiodide (X) by treatment with hydroiodic acid, filtration of the solid obtained and final conversion into the hydrochloride form by means of HCl.

Drug Information Express,Drug R&D,Chemical Database,Patent Search.
Copyright © 2006-2026 Drug Future. All rights reserved.Contact Us