【药物名称】Piretanide, Hoe-118, Eurelix, Tauliz, Arelix
化学结构式(Chemical Structure):
参考文献No.201776
标题:Piretanide
作者:Hillier, K.; Casta馿r, J.
来源:Drugs Fut 1977,2(6),393
合成路线图解说明:

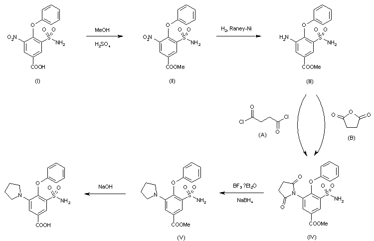
The esterification of 4-phenoxy-3-nitro-5-sulfamoylbenzoic acid (I) with methanol and H2SO4 gives the corresponding methyl ester (II), which is reduced with H2 over Raney-Ni in methanol yielding methyl 4-phenoxy-3-amino-5-sulfamoylbenzoate (III). The condensation of (III) with succinic anhydride (B) or succinoyl chloride (A) by means of pyridine in refluxing dioxane affords methyl 4-phenoxy-3N-succinimido-5-sulfamoylbenzoate (IV), which is reduced with borontrifluoride ethearate and NaBH4 in diglyme giving methyl 4-phenoxy-3-(1-pyrrolidinyl)-5-sulfamoylbenzoate (V). Finally, this compound is hydrolyzed with NaOH in water.

参考文献No.701088
标题:5-Sulfamoylbenzoic acid derivatives carrying a heterocyclic substituent
作者:Bormann, D.; et al.
来源:DE 2419970; FR 2324298; GB 1504505; US 4010273
合成路线图解说明:

The esterification of 4-phenoxy-3-nitro-5-sulfamoylbenzoic acid (I) with methanol and H2SO4 gives the corresponding methyl ester (II), which is reduced with H2 over Raney-Ni in methanol yielding methyl 4-phenoxy-3-amino-5-sulfamoylbenzoate (III). The condensation of (III) with succinic anhydride (B) or succinoyl chloride (A) by means of pyridine in refluxing dioxane affords methyl 4-phenoxy-3N-succinimido-5-sulfamoylbenzoate (IV), which is reduced with borontrifluoride ethearate and NaBH4 in diglyme giving methyl 4-phenoxy-3-(1-pyrrolidinyl)-5-sulfamoylbenzoate (V). Finally, this compound is hydrolyzed with NaOH in water.

参考文献No.800272
标题:Piretanide (Hoe 118) a new high ceiling salidiuretic
作者:Merkel, W.; et al.
来源:Eur J Med Chem 1976,11(5),399
合成路线图解说明:

The esterification of 4-phenoxy-3-nitro-5-sulfamoylbenzoic acid (I) with methanol and H2SO4 gives the corresponding methyl ester (II), which is reduced with H2 over Raney-Ni in methanol yielding methyl 4-phenoxy-3-amino-5-sulfamoylbenzoate (III). The condensation of (III) with succinic anhydride (B) or succinoyl chloride (A) by means of pyridine in refluxing dioxane affords methyl 4-phenoxy-3N-succinimido-5-sulfamoylbenzoate (IV), which is reduced with borontrifluoride ethearate and NaBH4 in diglyme giving methyl 4-phenoxy-3-(1-pyrrolidinyl)-5-sulfamoylbenzoate (V). Finally, this compound is hydrolyzed with NaOH in water.

Drug Information Express,Drug R&D,Chemical Database,Patent Search.
Copyright © 2006-2026 Drug Future. All rights reserved.Contact Us