【药物名称】Alminoprofen, EB-382, Minalfene
化学结构式(Chemical Structure):
参考文献No.46552
标题:Nouveau procede de preparation de derives de l'acide phenylacetique
作者:Bouchara, E. (Laboratoires du Dr. E. Bouchara)
来源:FR 2289180
合成路线图解说明:

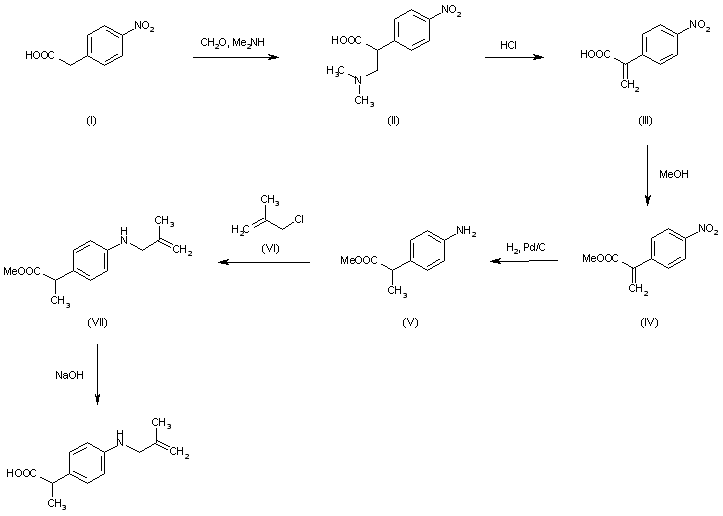
The reaction of 4-nitrophenylacetic acid (I) with formaldehyde and dimethylamine in water gives 2-(4-nitrophenyl)-3-(dimethylamino)propionic acid (II), which by treatment with refluxing concentrated HCl is converted into 2-(4-nitrophenyl)acrylic acid (III). The esterification of (III) with methanol and p-toluenesulfonic acid yields the corresponding methyl ester (IV), which is reduced with H2 over Pd/C in ethanol to afford methyl 2-(4-aminophenyl)propionate (V). The alkylation of (V) with 2-methylallyl chloride (VI) by means of pyridine in refluxing ethanol gives methyl 2-[4-(2-methylallylamino)phenyl]propionate (VII), which is finally hydrolyzed with NaOH in refluxing methanol.

参考文献No.199362
标题:Alminoprofen
作者:Serradell, M.N.; Casta馿r, J.
来源:Drugs Fut 1984,9(3),165
合成路线图解说明:

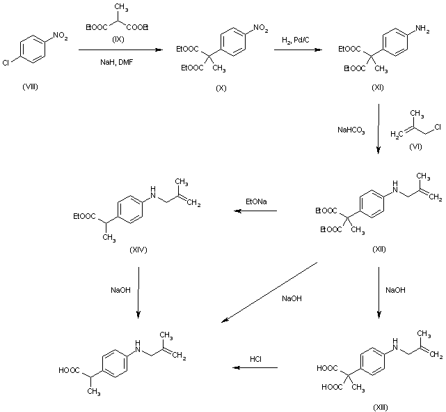
The malonic synthesis of 4-nitrochlorobenzene (VIII) with sodium diethyl methylmalonate (IX) (prepared with the corresponding malonic ester and NaH) in hot DMF gives diethyl (4-nitrophenyl)methylmalonate (X), which is reduced with H2 over Pd/C as before yielding diethyl (4-aminophenyl)methylmalonate (XI). The alkylation of (XI) with (VI) by means of NaHCO3 in refluxing ethanol affords diethyl [4-(2-methylallyl)aminophenyl]methylmalonate (XII), which is treated with sodium ethoxide in refluxing ethanol to yield ethyl 2-(4-[2-methylallylamino)phenyl]propionate (XIV). Finally, this compound is hydrolyzed with NaOH in refluxing ethanol. Partial hydrolysis of (XII) with NaOH in refluxing ethanol gives 2-[4-(2-methylallylamino)phenyl]methylmalonic acid (XIII), which is finally decarboxylated by treatment with refluxing aqueous HCl. The simultaneous hydrolysis and decarboxylation of (XII) with NaOH in refluxing ethanol also gives the title product.

合成路线图解说明:

The reaction of 4-nitrophenylacetic acid (I) with formaldehyde and dimethylamine in water gives 2-(4-nitrophenyl)-3-(dimethylamino)propionic acid (II), which by treatment with refluxing concentrated HCl is converted into 2-(4-nitrophenyl)acrylic acid (III). The esterification of (III) with methanol and p-toluenesulfonic acid yields the corresponding methyl ester (IV), which is reduced with H2 over Pd/C in ethanol to afford methyl 2-(4-aminophenyl)propionate (V). The alkylation of (V) with 2-methylallyl chloride (VI) by means of pyridine in refluxing ethanol gives methyl 2-[4-(2-methylallylamino)phenyl]propionate (VII), which is finally hydrolyzed with NaOH in refluxing methanol.

参考文献No.800073
标题:Synthesis of some analgesic and antiinflammatory 4-aminophenylacetic and 4-aminophenylacetic and 2-(4-aminophenyl)propionic acid derivatives
作者:Dumaitre, B.; et al.
来源:Eur J Med Chem - Chim Ther 1979,14(3),207-214
合成路线图解说明:

The malonic synthesis of 4-nitrochlorobenzene (VIII) with sodium diethyl methylmalonate (IX) (prepared with the corresponding malonic ester and NaH) in hot DMF gives diethyl (4-nitrophenyl)methylmalonate (X), which is reduced with H2 over Pd/C as before yielding diethyl (4-aminophenyl)methylmalonate (XI). The alkylation of (XI) with (VI) by means of NaHCO3 in refluxing ethanol affords diethyl [4-(2-methylallyl)aminophenyl]methylmalonate (XII), which is treated with sodium ethoxide in refluxing ethanol to yield ethyl 2-(4-[2-methylallylamino)phenyl]propionate (XIV). Finally, this compound is hydrolyzed with NaOH in refluxing ethanol. Partial hydrolysis of (XII) with NaOH in refluxing ethanol gives 2-[4-(2-methylallylamino)phenyl]methylmalonic acid (XIII), which is finally decarboxylated by treatment with refluxing aqueous HCl. The simultaneous hydrolysis and decarboxylation of (XII) with NaOH in refluxing ethanol also gives the title product.

合成路线图解说明:

The reaction of 4-nitrophenylacetic acid (I) with formaldehyde and dimethylamine in water gives 2-(4-nitrophenyl)-3-(dimethylamino)propionic acid (II), which by treatment with refluxing concentrated HCl is converted into 2-(4-nitrophenyl)acrylic acid (III). The esterification of (III) with methanol and p-toluenesulfonic acid yields the corresponding methyl ester (IV), which is reduced with H2 over Pd/C in ethanol to afford methyl 2-(4-aminophenyl)propionate (V). The alkylation of (V) with 2-methylallyl chloride (VI) by means of pyridine in refluxing ethanol gives methyl 2-[4-(2-methylallylamino)phenyl]propionate (VII), which is finally hydrolyzed with NaOH in refluxing methanol.

Drug Information Express,Drug R&D,Chemical Database,Patent Search.
Copyright © 2006-2026 Drug Future. All rights reserved.Contact Us