【药物名称】Lonazolac calcium, Lonax, Floxan, Irritren
化学结构式(Chemical Structure):
参考文献No.199340
标题:Lonazolac calcium
作者:Underhalt, B.
来源:Drugs Fut 1982,7(2),110
合成路线图解说明:

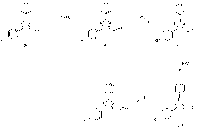
The pyrazole-4-carbaldehyde (I) synthesized according to Vilsmeier is reduced to the alcohol (II), which is chlorinated to (III). (III) is reacted with sodium cyanide to give the nitrile (IV), which is hydrolyzed to lonazolac (V). The calcium salt, slightly soluble in water, is formed by adding calcium chloride to (V).

参考文献No.604479
标题:Synthese und physikalisch-chemische Eigenschaften von Lonazolac-Ca, einem neuen Antiphlogistikum / Antirheumatikum
作者:Rainer, G.; Kr黦er, U.; Klemm, K.
来源:Arzneim-Forsch Drug Res 1981,31(4),649
合成路线图解说明:

The pyrazole-4-carbaldehyde (I) synthesized according to Vilsmeier is reduced to the alcohol (II), which is chlorinated to (III). (III) is reacted with sodium cyanide to give the nitrile (IV), which is hydrolyzed to lonazolac (V). The calcium salt, slightly soluble in water, is formed by adding calcium chloride to (V).

Drug Information Express,Drug R&D,Chemical Database,Patent Search.
Copyright © 2006-2026 Drug Future. All rights reserved.Contact Us