【药物名称】Temocillin sodium, BRL-17421, Temopen
化学结构式(Chemical Structure):
参考文献No.46751
标题:Penicillins
作者:Bentley, P.H.; Clayton, J.P. (SmithKline Beecham plc)
来源:BE 0837456; DE 2600842; ES 444343; FR 2297624; GB 1538051; JP 51095092; US 4048320
合成路线图解说明:

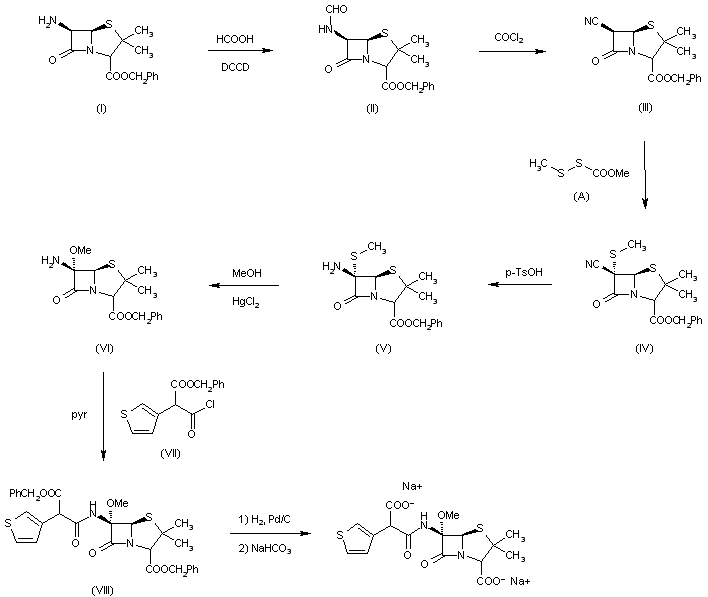
The formylation of benzyl 6beta-aminopenicillanate (I) with formic acid and dicyclohexylcarbodiimide in ethyl acetate gives the corresponding formamido derivative (II), which is treated with phosgene in methylenechloride containing triethylamine to yield benzyl 6beta-isocyanopenicillanate (III). The reaction of (III) with methyl methoxycarbonyl disulfide (A) by means of K2CO3 in DMF affords benzyl 6beta-isocyano-6alpha-methylthiopenicillanate (IV), which is treated with p-toluenesulfonic acid hydrate in CHCl3, giving benzyl 6beta-amino-6alpha-methylthiopenicillanate (V). The treatment of (V) with HgCl2 pyridine in methanol yields benzyl 6beta-amino-6alpha-methoxypenicillanate (VI) , which is condensed with 2-benzyloxycarbonyl-2-(thien-3-yl)acetyl chloride (VII) by means of pyridine in methylene chloride to afford benzyl 6beta-[2-(benzyloxycarbonyl)-2-(thien-3-yl)acetamido]-6alpha-methoxypenicillanate (VIII). Finally, this compound is debenzylated by hydrogenolysis with H2 over Pd/C in aqueous ethanol, and treated with NaHCO3.

参考文献No.46752
标题:Ketenimine intermediates for 6 alpha-methoxy-alpha-carboxy penicillins
作者:Taylor, A.W.; Burton, G.; Clayton, J.P. (SmithKline Beecham plc)
来源:BE 0856121; FR 2370748; GB 1578748; JP 53002496; US 4182710; US 4185014
合成路线图解说明:

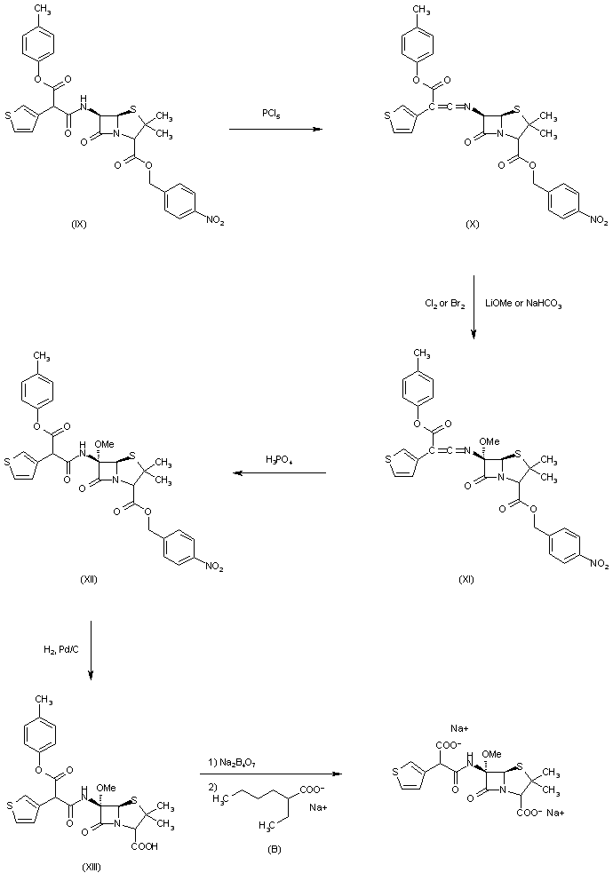
The reaction of p-nitrobenzyl 6beta-[2-(p-methylphenoxycarbonyl)-2-(thien-3-yl)acetamido]penicillanate (IX) with PCl5 and pyridine in benzene gives p-nitrobenzyl 6beta-[2-(p-methylphenoxycarbonyl)-2-(thien-3-yl)ketenimino]penicillanate (X), which is treated with Cl2 (or Br2) at -70 C in THF, followed by addition of lithium methoxide (or NaHCO3) in methanol to yield p-nitrobenzyl 6beta-[2-(p-methylphenoxycarbonyl)-2-(thien-3-yl)ketenimino]-6alpha-methoxypenicillanate (XI). The treatment of (XI) with H3PO4 in THF yields p-nitrobenzyl 6beta-[2-(p-methylphenoxycarbonyl)-2-(thien-3-yl)acetamido-6alpha-methoxypenicillanate (XII), which is debenzylated with H2 over Pd/C in ethanol to the corresponding free penicillanate (XIII). Finally, the p-methylphenyl ester is hydrolyzed with Na2B4O7 in water and treated with sodium 2-ethylhexanoate in isobutyl ketone (B).

参考文献No.199368
标题:Temocillin sodium
作者:Neuman, M.; Serradell, M.N.; Blancafort, P.; Casta馿r, J.
来源:Drugs Fut 1982,7(4),273
合成路线图解说明:

The formylation of benzyl 6beta-aminopenicillanate (I) with formic acid and dicyclohexylcarbodiimide in ethyl acetate gives the corresponding formamido derivative (II), which is treated with phosgene in methylenechloride containing triethylamine to yield benzyl 6beta-isocyanopenicillanate (III). The reaction of (III) with methyl methoxycarbonyl disulfide (A) by means of K2CO3 in DMF affords benzyl 6beta-isocyano-6alpha-methylthiopenicillanate (IV), which is treated with p-toluenesulfonic acid hydrate in CHCl3, giving benzyl 6beta-amino-6alpha-methylthiopenicillanate (V). The treatment of (V) with HgCl2 pyridine in methanol yields benzyl 6beta-amino-6alpha-methoxypenicillanate (VI) , which is condensed with 2-benzyloxycarbonyl-2-(thien-3-yl)acetyl chloride (VII) by means of pyridine in methylene chloride to afford benzyl 6beta-[2-(benzyloxycarbonyl)-2-(thien-3-yl)acetamido]-6alpha-methoxypenicillanate (VIII). Finally, this compound is debenzylated by hydrogenolysis with H2 over Pd/C in aqueous ethanol, and treated with NaHCO3.

合成路线图解说明:

The reaction of p-nitrobenzyl 6beta-[2-(p-methylphenoxycarbonyl)-2-(thien-3-yl)acetamido]penicillanate (IX) with PCl5 and pyridine in benzene gives p-nitrobenzyl 6beta-[2-(p-methylphenoxycarbonyl)-2-(thien-3-yl)ketenimino]penicillanate (X), which is treated with Cl2 (or Br2) at -70 C in THF, followed by addition of lithium methoxide (or NaHCO3) in methanol to yield p-nitrobenzyl 6beta-[2-(p-methylphenoxycarbonyl)-2-(thien-3-yl)ketenimino]-6alpha-methoxypenicillanate (XI). The treatment of (XI) with H3PO4 in THF yields p-nitrobenzyl 6beta-[2-(p-methylphenoxycarbonyl)-2-(thien-3-yl)acetamido-6alpha-methoxypenicillanate (XII), which is debenzylated with H2 over Pd/C in ethanol to the corresponding free penicillanate (XIII). Finally, the p-methylphenyl ester is hydrolyzed with Na2B4O7 in water and treated with sodium 2-ethylhexanoate in isobutyl ketone (B).

参考文献No.800181
标题:Transformations using benzyl 6-isocyanopenicillanate
作者:Girven, R.J.; Bentley, P.H.; Clayton, J.P.; Boles, M.O.
来源:J Chem Soc - Perkins Trans I 1979,2455-67
合成路线图解说明:

The formylation of benzyl 6beta-aminopenicillanate (I) with formic acid and dicyclohexylcarbodiimide in ethyl acetate gives the corresponding formamido derivative (II), which is treated with phosgene in methylenechloride containing triethylamine to yield benzyl 6beta-isocyanopenicillanate (III). The reaction of (III) with methyl methoxycarbonyl disulfide (A) by means of K2CO3 in DMF affords benzyl 6beta-isocyano-6alpha-methylthiopenicillanate (IV), which is treated with p-toluenesulfonic acid hydrate in CHCl3, giving benzyl 6beta-amino-6alpha-methylthiopenicillanate (V). The treatment of (V) with HgCl2 pyridine in methanol yields benzyl 6beta-amino-6alpha-methoxypenicillanate (VI) , which is condensed with 2-benzyloxycarbonyl-2-(thien-3-yl)acetyl chloride (VII) by means of pyridine in methylene chloride to afford benzyl 6beta-[2-(benzyloxycarbonyl)-2-(thien-3-yl)acetamido]-6alpha-methoxypenicillanate (VIII). Finally, this compound is debenzylated by hydrogenolysis with H2 over Pd/C in aqueous ethanol, and treated with NaHCO3.

Drug Information Express,Drug R&D,Chemical Database,Patent Search.
Copyright © 2006-2026 Drug Future. All rights reserved.Contact Us