【药物名称】Pirprofen, SU-21524, Rengasil
化学结构式(Chemical Structure):
参考文献No.199341
标题:Pirprofen
作者:Casta馿r, J.
来源:Drugs Fut 1977,1(1),23
合成路线图解说明:

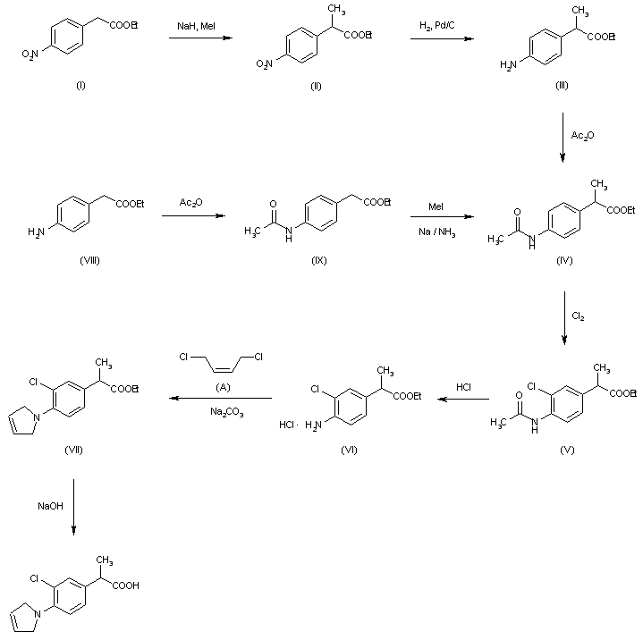
The methylation of ethyl 4-nitrophenylacetate (I) with NaH - ICH3 in DMF - toluene to ethyl 2-(4-nitrophenyl)propionate (II), which was reduced with H2 over Pd/C in EtOH - H2O to ethyl 2-(4-aminophenyl)propionate (III) (HCl deriv., m.p. 137-40 C). This product was acetylated with acetic anhydride to ethyl 2-(acetylaminophenyl) propionate (IV), m.p. 88-90 C, which was chlorinated with Cl2 in acetic acid to ethyl 2-(3-chloro-4-acetylaminophenyl)propionate (V), b.p. 155-60 C/0.7 mm; this, in turn, was hydrolyzed with HCl in EtOH to ethyl 2-(3-chloro-4-aminophenyl)propionate hydrochloride (VI), m.p. 164-8 C. The last step being the reaction of the preceding intermediate with cis-1,4-dichloro (or dibromo)-2-butene (A) in DMF and Na2CO3 to ethyl 2-(3-chloro-4-(3-pyrrolinyl)phenyl)propionate (VII), b.p. 128-33 C/0.25 mm; followed by hydrolysis with KOH in EtOH - H2O. The acetylation of ethyl 4-aminophenylacetate (VIII) with acetic anhydride to ethyl 4-acetylaminophenylacetate (IX), m.p. 75-8 C, followed by methylation with ICH3 and Na in liquid NH3 to ethyl 2-(4-acetylaminophenyl)propionate (IV), already obtained.

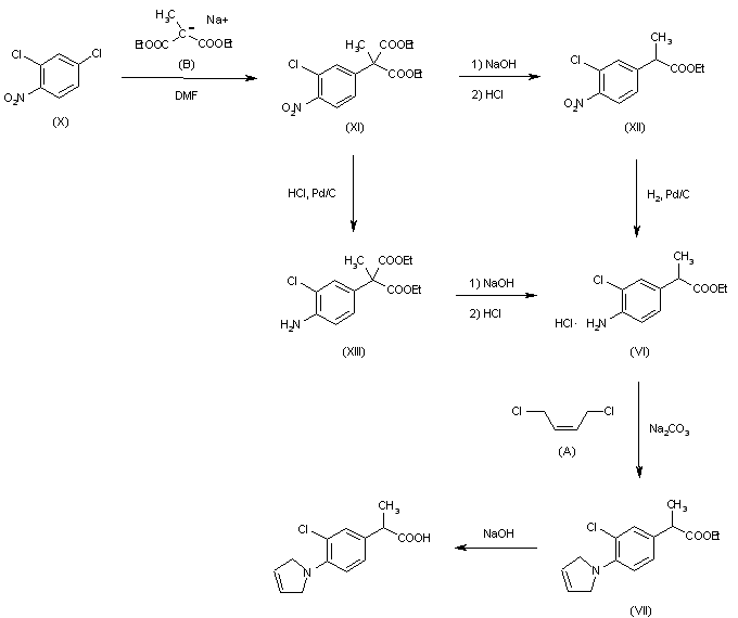
合成路线图解说明:

The reaction of 2,4-dichloronitrobenzene (X) with sodium diethyl methylmalonate (B) in DMF to diethyl 2-(4-nitro-3-chlorophenyl)-2-methyl-malonate (XI), b.p. 147-8 C/0.25 mm, followed hydrolysis, decarboxylation and esterification to ethyl 2-(3-chloro-4-nitrophenyl)propionate (XII), b.p. 138-42 C /0.25 mm; which, in turn, was reduced as before to ethyl 2-(3-chloro-4-aminophenyl)propionate hydrochloride (VI). Conversely, the diethyl 2-(4-nitro-3-chlorophenyl)-2-methylmalonate (XI), already obtained before, could be hydrogenated first to diethyl 2-(4-amino-3-chlorophenyl)-2-methylmalonate (XIII), b.p. 180-5 C/0.25 mm, and then hydrolyzed, decarboxylated and esterified again to ethyl 2-(3-chloro-4-aminophenyl)propionate hydrochloride (VI).

参考文献No.701126
标题:Tertiary amino phenyl acetic acids
作者:Carney, R.W.J.; de Stevens, G.
来源:CH 574926; CH 577968; CH 578523; CH 581103; CH 581104; US 3641040
合成路线图解说明:

The methylation of ethyl 4-nitrophenylacetate (I) with NaH - ICH3 in DMF - toluene to ethyl 2-(4-nitrophenyl)propionate (II), which was reduced with H2 over Pd/C in EtOH - H2O to ethyl 2-(4-aminophenyl)propionate (III) (HCl deriv., m.p. 137-40 C). This product was acetylated with acetic anhydride to ethyl 2-(acetylaminophenyl) propionate (IV), m.p. 88-90 C, which was chlorinated with Cl2 in acetic acid to ethyl 2-(3-chloro-4-acetylaminophenyl)propionate (V), b.p. 155-60 C/0.7 mm; this, in turn, was hydrolyzed with HCl in EtOH to ethyl 2-(3-chloro-4-aminophenyl)propionate hydrochloride (VI), m.p. 164-8 C. The last step being the reaction of the preceding intermediate with cis-1,4-dichloro (or dibromo)-2-butene (A) in DMF and Na2CO3 to ethyl 2-(3-chloro-4-(3-pyrrolinyl)phenyl)propionate (VII), b.p. 128-33 C/0.25 mm; followed by hydrolysis with KOH in EtOH - H2O. The acetylation of ethyl 4-aminophenylacetate (VIII) with acetic anhydride to ethyl 4-acetylaminophenylacetate (IX), m.p. 75-8 C, followed by methylation with ICH3 and Na in liquid NH3 to ethyl 2-(4-acetylaminophenyl)propionate (IV), already obtained.

参考文献No.800287
标题:Potent nonsteroidal anti-inflammatory agent, 2-[3-chloro-4-(3-pyrrolin-1-yl)phenyl]propionic acid
作者:Carney, R.W.; et al.
来源:Experientia 1973,29(8),938
合成路线图解说明:

The reaction of 2,4-dichloronitrobenzene (X) with sodium diethyl methylmalonate (B) in DMF to diethyl 2-(4-nitro-3-chlorophenyl)-2-methyl-malonate (XI), b.p. 147-8 C/0.25 mm, followed hydrolysis, decarboxylation and esterification to ethyl 2-(3-chloro-4-nitrophenyl)propionate (XII), b.p. 138-42 C /0.25 mm; which, in turn, was reduced as before to ethyl 2-(3-chloro-4-aminophenyl)propionate hydrochloride (VI). Conversely, the diethyl 2-(4-nitro-3-chlorophenyl)-2-methylmalonate (XI), already obtained before, could be hydrogenated first to diethyl 2-(4-amino-3-chlorophenyl)-2-methylmalonate (XIII), b.p. 180-5 C/0.25 mm, and then hydrolyzed, decarboxylated and esterified again to ethyl 2-(3-chloro-4-aminophenyl)propionate hydrochloride (VI).

Drug Information Express,Drug R&D,Chemical Database,Patent Search.
Copyright © 2006-2026 Drug Future. All rights reserved.Contact Us