【药物名称】Toloxatone, MD-69276, Umoril, Humoryl, Perenum
化学结构式(Chemical Structure):
参考文献No.201759
标题:Toloxatone
作者:Sungurbey, K.; Casta馿r, J.
来源:Drugs Fut 1976,1(12),569
合成路线图解说明:

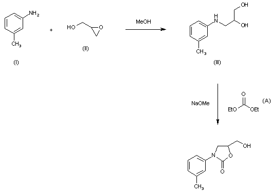
By condensation of m-toluidine (I) and glycidol (II) in methanol to give 3-(m-toluidino)-1,2-propanediol (III), which was then cyclized by condensation with ethyl carbonate (A) by means of NaOCH3.

参考文献No.800289
标题:Une nouvelle serie d'antid閜resseurs: les deriv閟 de l'hydroxym閠hyl-5-oxazolidinone-2
作者:Douzon, C.; Fauvan, C.
来源:Chimie Th閞apeutique 1973,3324-327
合成路线图解说明:

By condensation of m-toluidine (I) and glycidol (II) in methanol to give 3-(m-toluidino)-1,2-propanediol (III), which was then cyclized by condensation with ethyl carbonate (A) by means of NaOCH3.

Drug Information Express,Drug R&D,Chemical Database,Patent Search.
Copyright © 2006-2026 Drug Future. All rights reserved.Contact Us