【药物名称】Pineprofen, Ibuprofen piconol, BE-100, Vesicum, Staderm
化学结构式(Chemical Structure):
参考文献No.46763
标题:Pyridylalkyl esters of 2-(p-isobutylphenyl)acetic acid and propionic acids and use
作者:Noda, K.; Nakagawa, A.; Ishikura, Y.; Tosu, S.; Ide, H. (Hisamitsu Pharmaceutical Co., Ltd.)
来源:US 4150137
合成路线图解说明:

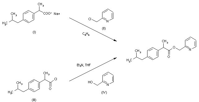
This compound can be obtained in two different ways: 1) By reaction of 2-(p-isobutylphenyl)propionic acid sodium salt (I) with 2-pyridylmethyl chloride (II) in refluxing benzene. 2) By reaction of 2-(p-isobutylphenyl)propionyl chloride (III) with 2-pyridylmethanol (IV) by means of triethylamine in THF.

参考文献No.201763
标题:Pineprofen
作者:Casta馿r, J.; Blancafort, P.; Serradell, M.N.
来源:Drugs Fut 1982,7(6),401
合成路线图解说明:

This compound can be obtained in two different ways: 1) By reaction of 2-(p-isobutylphenyl)propionic acid sodium salt (I) with 2-pyridylmethyl chloride (II) in refluxing benzene. 2) By reaction of 2-(p-isobutylphenyl)propionyl chloride (III) with 2-pyridylmethanol (IV) by means of triethylamine in THF.

Drug Information Express,Drug R&D,Chemical Database,Patent Search.
Copyright © 2006-2026 Drug Future. All rights reserved.Contact Us