【药物名称】Oxaprozin, Wy-21743, Xopane(as potassium), Daypro, Actirin, Alvo, Duraprox
化学结构式(Chemical Structure):
参考文献No.47079
标题:Oxazoles
作者:Brown, K. (Wyeth-Ayerst Laboratories)
来源:US 3578671
合成路线图解说明:

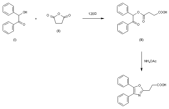
The condensation of benzoin (I) with succinic anhydride (II) by heating at 120 C gives benzoin hemisuccinate (III), which is cyclized with ammonium acetate in refluxing acetic acid.

参考文献No.47080
标题:Oxazoles
作者:Brown, K. (Wyeth-Ayerst Laboratories)
来源:GB 1206403; YU 244367; YU 249673
合成路线图解说明:

The condensation of benzoin (I) with succinic anhydride (II) by heating at 120 C gives benzoin hemisuccinate (III), which is cyclized with ammonium acetate in refluxing acetic acid.

参考文献No.201757
标题:Oxaprozin
作者:Arrigoni-Martelli, E.; Casta馿r, J.
来源:Drugs Fut 1978,3(7),539
合成路线图解说明:

The condensation of benzoin (I) with succinic anhydride (II) by heating at 120 C gives benzoin hemisuccinate (III), which is cyclized with ammonium acetate in refluxing acetic acid.

Drug Information Express,Drug R&D,Chemical Database,Patent Search.
Copyright © 2006-2026 Drug Future. All rights reserved.Contact Us