【药物名称】Talniflumate, MSI-1995, Ba-7602-06, Lomucin, Somalgen
化学结构式(Chemical Structure):
参考文献No.201765
标题:Talniflumate
作者:Torriani, H.
来源:Drugs Fut 1979,4(6),448
合成路线图解说明:

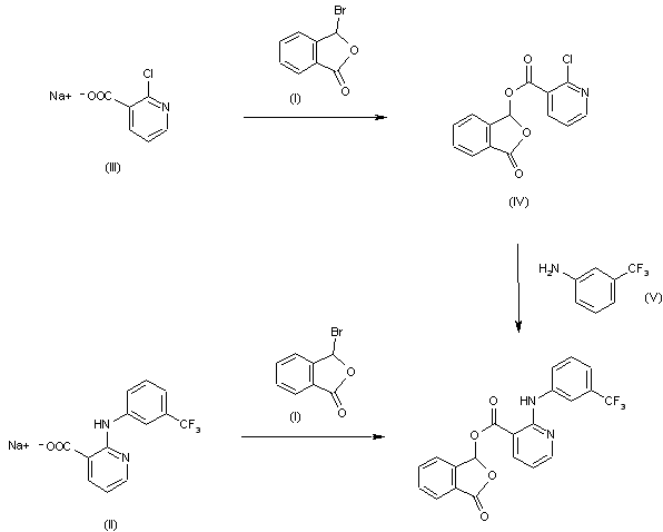
Two different ways to obtain talniflumate were developed: The first method is by reacting the previously salified niflumic acid (II) with 3-bromophthalide (I). The second way is by condensation of salified 2-halonicotinic acid (III) with 3-bromophthalide (I) to give the corresponding phthalidyl ester (IV), which is then treated with 3-trifluoromethylaniline (V).

参考文献No.700958
标题:Phthalidyl 2-(3'-trifluoromethylanilino)pyridine-3-caboxylalate and process for its preparation
作者:
来源:AR 209858; GB 1553171
合成路线图解说明:

Two different ways to obtain talniflumate were developed: The first method is by reacting the previously salified niflumic acid (II) with 3-bromophthalide (I). The second way is by condensation of salified 2-halonicotinic acid (III) with 3-bromophthalide (I) to give the corresponding phthalidyl ester (IV), which is then treated with 3-trifluoromethylaniline (V).

参考文献No.700959
标题:Nouveaux esters d'acides ph閚yl- et pyridine-3-carboxylique et proc閐?premettant leur pr閜aration
作者:
来源:BE 0858864
合成路线图解说明:

Two different ways to obtain talniflumate were developed: The first method is by reacting the previously salified niflumic acid (II) with 3-bromophthalide (I). The second way is by condensation of salified 2-halonicotinic acid (III) with 3-bromophthalide (I) to give the corresponding phthalidyl ester (IV), which is then treated with 3-trifluoromethylaniline (V).

参考文献No.700960
标题:Procedimiento para la obtenci髇 de nuevos 閟terees de 醕idos fenil- y piridin-3-carbox韑icos sustituidos
作者:
来源:ES 474566
合成路线图解说明:

Two different ways to obtain talniflumate were developed: The first method is by reacting the previously salified niflumic acid (II) with 3-bromophthalide (I). The second way is by condensation of salified 2-halonicotinic acid (III) with 3-bromophthalide (I) to give the corresponding phthalidyl ester (IV), which is then treated with 3-trifluoromethylaniline (V).

参考文献No.700961
标题:
作者:
来源:US 879749
合成路线图解说明:

Two different ways to obtain talniflumate were developed: The first method is by reacting the previously salified niflumic acid (II) with 3-bromophthalide (I). The second way is by condensation of salified 2-halonicotinic acid (III) with 3-bromophthalide (I) to give the corresponding phthalidyl ester (IV), which is then treated with 3-trifluoromethylaniline (V).

参考文献No.700962
标题:
作者:
来源:GB 381578
合成路线图解说明:

Two different ways to obtain talniflumate were developed: The first method is by reacting the previously salified niflumic acid (II) with 3-bromophthalide (I). The second way is by condensation of salified 2-halonicotinic acid (III) with 3-bromophthalide (I) to give the corresponding phthalidyl ester (IV), which is then treated with 3-trifluoromethylaniline (V).

参考文献No.800246
标题:Acidos anilino nicot韓ico y N-arilantran韑icos convenientemente sustituidos
作者:Boned, J.; Los, M.; Piccinali, C.
来源:VII Latinoamerican Congress Pharmacology 1978,
合成路线图解说明:

Two different ways to obtain talniflumate were developed: The first method is by reacting the previously salified niflumic acid (II) with 3-bromophthalide (I). The second way is by condensation of salified 2-halonicotinic acid (III) with 3-bromophthalide (I) to give the corresponding phthalidyl ester (IV), which is then treated with 3-trifluoromethylaniline (V).

Drug Information Express,Drug R&D,Chemical Database,Patent Search.
Copyright © 2006-2026 Drug Future. All rights reserved.Contact Us