【药物名称】Acemetacin, TVX-1322, Bay-f-4975, Emflex, Rantudil
化学结构式(Chemical Structure):
参考文献No.201764
标题:Acemetacin
作者:Leeson, P.A.; Casta馿r, J.
来源:Drugs Fut 1977,2(7),423
合成路线图解说明:

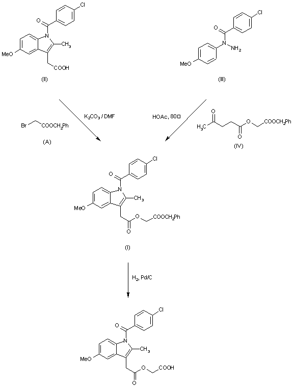
1) By condensation of 1-(p-chlorobenzoyl)-5-methoxy-2-methylindole-3-acetic acid (II) with benzyl bromoacetate (A) by means of K2CO3 in DMF. 2) By cyclocondensation of a mixture of N-(p-methoxyphenyl)-N-(p-chlorobenzoyl)hydrazine (III) and benzyl levulinate (IV) at 80 C in acetic acid.

合成路线图解说明:

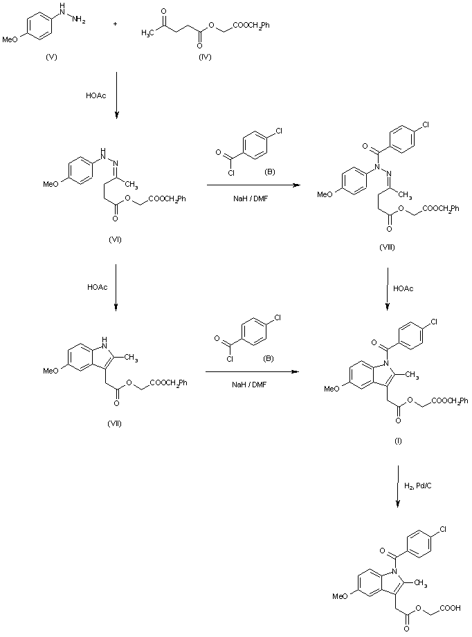
3) The reaction of p-methoxyphenylhydrazine (V) with benzyl levulinate (IV) in acetic acid gives the corresponding hydrazone (VI), which, without isolation, is cyclized to benzyl 5-methoxy-2-methylindole-3-acetoxyacetate (VII) at 80 C in acetic acid. Then this compound is benzoylated with p-chlorobenzoyl chloride (B) by means of NaH in DMF. 4) The hydrazone (VI) can also be benzoylated first giving the corresponding hydrazone (VIII), which is then cyclized at 80 C in acetic acid.

参考文献No.900139
标题:Novel substituted indole compound, process for the preparation and therapeutic compositions containing it.
作者:Boltze, K.; Brendler, O.; Dell, H.-D.; Jacobi, H.
来源:DE 2234651; ES 416877; FR 2192828; JP 49043970; US 3910952
合成路线图解说明:

1) By condensation of 1-(p-chlorobenzoyl)-5-methoxy-2-methylindole-3-acetic acid (II) with benzyl bromoacetate (A) by means of K2CO3 in DMF. 2) By cyclocondensation of a mixture of N-(p-methoxyphenyl)-N-(p-chlorobenzoyl)hydrazine (III) and benzyl levulinate (IV) at 80 C in acetic acid.

合成路线图解说明:

3) The reaction of p-methoxyphenylhydrazine (V) with benzyl levulinate (IV) in acetic acid gives the corresponding hydrazone (VI), which, without isolation, is cyclized to benzyl 5-methoxy-2-methylindole-3-acetoxyacetate (VII) at 80 C in acetic acid. Then this compound is benzoylated with p-chlorobenzoyl chloride (B) by means of NaH in DMF. 4) The hydrazone (VI) can also be benzoylated first giving the corresponding hydrazone (VIII), which is then cyclized at 80 C in acetic acid.

Drug Information Express,Drug R&D,Chemical Database,Patent Search.
Copyright © 2006-2026 Drug Future. All rights reserved.Contact Us