【药物名称】Bifonazole, Bay-h-4502, Azolmen, Amycor, Mycospor
化学结构式(Chemical Structure):
参考文献No.46748
标题:alpha-(4-Biphenylyl)-benzylazolium salts and their use for combating microorganisms
作者:Regel, E.; Draber, W.; Buechel, K.H.; Plempel, M. (Bayer AG)
来源:BE 0859041; DE 2643563; FR 2365559; GB 1535148; JP 53044568; NL 7710489; US 4243670
合成路线图解说明:

The reduction of 4-phenylbenzophenone (I) with NaBH4 in ethanol gives 4-phenylbenzhydrol (II), which is then condensed with imidazole (III) by means of SOCl2 in acetonitrile.

参考文献No.46749
标题:Substituted azol-1-ylmethanes
作者:Regel, E.; Draber, W.; Buechel, K.H.; Plempel, M. (Bayer AG)
来源:BE 0836924; CA 1059134; CH 619454; DD 124729; DE 2461406; FR 2295747; GB 1469617; JP 51091260; NL 7514940; US 4118487
合成路线图解说明:

The reduction of 4-phenylbenzophenone (I) with NaBH4 in ethanol gives 4-phenylbenzhydrol (II), which is then condensed with imidazole (III) by means of SOCl2 in acetonitrile.

参考文献No.46750
标题:Combating crop damaging fungi with alpha-(4-biphenylyl)-benzyl-azolium salts
作者:Regel, E.; Draber, W.; Buechel, K.H.; Plempel, M. (Bayer AG)
来源:DE 2714290; JP 53121941; US 4251540
合成路线图解说明:

The reduction of 4-phenylbenzophenone (I) with NaBH4 in ethanol gives 4-phenylbenzhydrol (II), which is then condensed with imidazole (III) by means of SOCl2 in acetonitrile.

参考文献No.201761
标题:Bifonazole
作者:Serradell, M.N.; Blancafort, P.; Casta馿r, J.
来源:Drugs Fut 1982,7(2),87
合成路线图解说明:

The reduction of 4-phenylbenzophenone (I) with NaBH4 in ethanol gives 4-phenylbenzhydrol (II), which is then condensed with imidazole (III) by means of SOCl2 in acetonitrile.

参考文献No.587651
标题:Chiral azole derivatives.4.Enantiomers of bifonazole and related antifungal agents. Synthesis, configuration assignment, and biological evaluation
作者:Botta, M.; Corelli, F.; Gasparrini, F.; Messina, F.; Mugnaini, C.
来源:J Org Chem 2000,65(15),4736
合成路线图解说明:

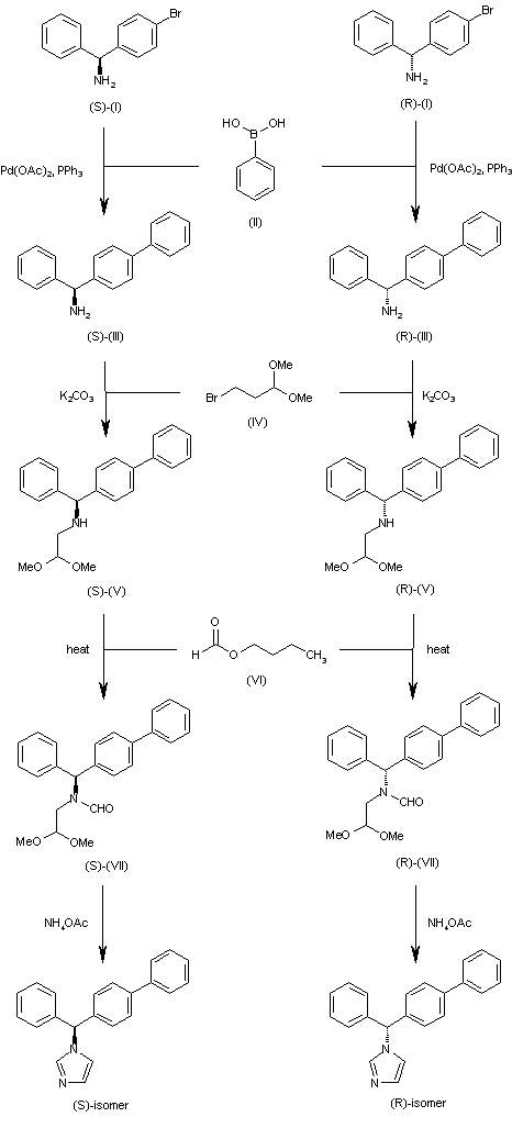
The condensation of (S)-1-(4-bromophenyl)-1-phenylmethylamine (S)-(I) with phenylboronic acid (II) by means of Pd(OAc)2, PPh3 and Na2CO3 in propanol/water gives the corresponding biphenyl derivative (S)-(III), which is condensed with 3-bromopropanal dimethylacetal (IV) by means of K2CO3 in DMF yielding the secondary amine (S)-(V). The reaction of (S)-(V) with refluxing butyl formate (VI) affords the formamide (S)-(VII), which is cyclized with ammonium acetate in acetic acid to furnish the (S)-enantiomer of the target compound. The corresponding (R)-enantiomer has been obtained by the same reaction sequence but starting from (R)-1-(4-bromophenyl)-1-phenylmethylamine (R)-(I).

Drug Information Express,Drug R&D,Chemical Database,Patent Search.
Copyright © 2006-2026 Drug Future. All rights reserved.Contact Us