【药物名称】Trilostane, Win-25540, Modrastane, Modrefen, Modrenal
化学结构式(Chemical Structure):
参考文献No.46984
标题:2-Cyano-3-oxo-steroids
作者:Clinton, R.O.; Manson, A.J. (Sanofi-Synth閘abo)
来源:GB 1123770
合成路线图解说明:

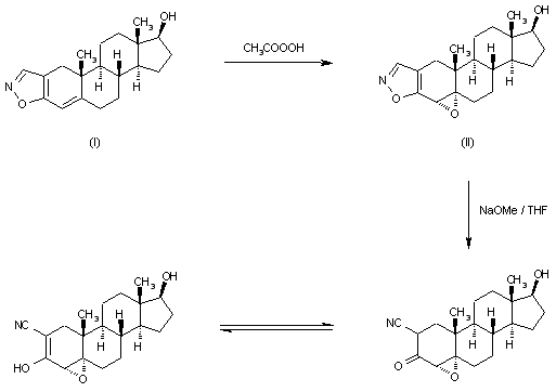
The epoxidation of 17beta-hydroxy-4-androsteno[2,3-d]isoxazole (I) with peracetic acid in benzene acetic acid-sodium acetate gives 4alpha,5-epoxy-17beta-hydroxyandrostano[2,3-d]isoxazole (II), which is then isomerized by treatment with sodium methoxide in THF.

参考文献No.201790
标题:Trilostane
作者:Blancafort, P.; Casta馿r, J.; Serradell, M.N.
来源:Drugs Fut 1981,6(8),494
合成路线图解说明:

The epoxidation of 17beta-hydroxy-4-androsteno[2,3-d]isoxazole (I) with peracetic acid in benzene acetic acid-sodium acetate gives 4alpha,5-epoxy-17beta-hydroxyandrostano[2,3-d]isoxazole (II), which is then isomerized by treatment with sodium methoxide in THF.

参考文献No.607661
标题:Steroidal heterocycles. XIII. 4alpha,5-Epoxy-5alpha-androst-2-eno[2,3-d]isoxazoles and related compounds
作者:Neumann, H.C.; Potts, G.O.; Ryan, W.T.; Stonner, F.W.
来源:J Med Chem 1970,13(5),948-951
合成路线图解说明:

The epoxidation of 17beta-hydroxy-4-androsteno[2,3-d]isoxazole (I) with peracetic acid in benzene acetic acid-sodium acetate gives 4alpha,5-epoxy-17beta-hydroxyandrostano[2,3-d]isoxazole (II), which is then isomerized by treatment with sodium methoxide in THF.

参考文献No.700872
标题:2-Cyano steroids
作者:Clinton, R.O.; Manson, A.J.
来源:BE 0690024; DE 1593564; FR 63668M; NL 6616225; US 3296255
合成路线图解说明:

The epoxidation of 17beta-hydroxy-4-androsteno[2,3-d]isoxazole (I) with peracetic acid in benzene acetic acid-sodium acetate gives 4alpha,5-epoxy-17beta-hydroxyandrostano[2,3-d]isoxazole (II), which is then isomerized by treatment with sodium methoxide in THF.

Drug Information Express,Drug R&D,Chemical Database,Patent Search.
Copyright © 2006-2026 Drug Future. All rights reserved.Contact Us