【药物名称】Tiropramide, CR-605, Tirospan, Maioral, Alfospas(HCl), Maiorad(HCl)
化学结构式(Chemical Structure):
参考文献No.46765
标题:O-Tertiary amino-alkyl-N-benzoyl tyrosil amides
作者:Makovec, F.; Rovati, L.; Senini, P. (Rotta Research Laboratorium SpA)
来源:DE 2503992; FR 2259592; GB 1467927; JP 50116442; NL 167683C; US 4004008
合成路线图解说明:

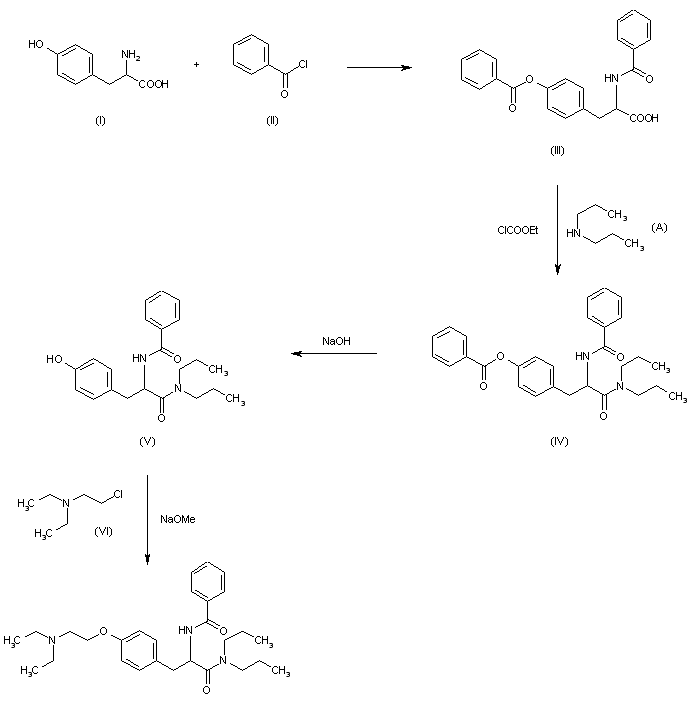
The benzoylation of tyrosine (I) with benzoyl chloride (II) in aqueous NaOH gives O,N-(di-benzoyl)-D,L-tyrosine (III), which by reaction with di-n-propylamine (A) by means of ethyl chlorocarbonate and triethylamine in acetone is converted into O,N-(di-benzoyl)-D,L-tyrosyl-di-n-propylamide (IV). Selective hydrolysis of (IV) with NaOH in methanol - water affords N-benzoyl-D,L-tyrosyl-di-n-propylamide (V), which is finally condensed with 2-(diethylamino)ethyl chloride (VI) by means of sodium methoxide in refluxing toluene.

参考文献No.154688
标题:Tiropramide
作者:Serradell, M.N.; de Angelis, L.; Blancafort, P.; Casta馿r, J.
来源:Drugs Fut 1982,7(6),413
合成路线图解说明:

The benzoylation of tyrosine (I) with benzoyl chloride (II) in aqueous NaOH gives O,N-(di-benzoyl)-D,L-tyrosine (III), which by reaction with di-n-propylamine (A) by means of ethyl chlorocarbonate and triethylamine in acetone is converted into O,N-(di-benzoyl)-D,L-tyrosyl-di-n-propylamide (IV). Selective hydrolysis of (IV) with NaOH in methanol - water affords N-benzoyl-D,L-tyrosyl-di-n-propylamide (V), which is finally condensed with 2-(diethylamino)ethyl chloride (VI) by means of sodium methoxide in refluxing toluene.

参考文献No.800194
标题:Activity of derivatives of tyrosine on gastrointestinal motility
作者:Senin; et al.
来源:Gastrointestinal Motility in Health and Disease. Duthie, H.L. (Ed.); MTP Press Limited, Lancaster 1978,417-427
合成路线图解说明:

The benzoylation of tyrosine (I) with benzoyl chloride (II) in aqueous NaOH gives O,N-(di-benzoyl)-D,L-tyrosine (III), which by reaction with di-n-propylamine (A) by means of ethyl chlorocarbonate and triethylamine in acetone is converted into O,N-(di-benzoyl)-D,L-tyrosyl-di-n-propylamide (IV). Selective hydrolysis of (IV) with NaOH in methanol - water affords N-benzoyl-D,L-tyrosyl-di-n-propylamide (V), which is finally condensed with 2-(diethylamino)ethyl chloride (VI) by means of sodium methoxide in refluxing toluene.

Drug Information Express,Drug R&D,Chemical Database,Patent Search.
Copyright © 2006-2026 Drug Future. All rights reserved.Contact Us