【药物名称】Norgestimate, ORF-10131, D-138
化学结构式(Chemical Structure):
参考文献No.154686
标题:Norgestimate
作者:Hillier, K.; Casta馿r, J.
来源:Drugs Fut 1977,2(2),122
合成路线图解说明:

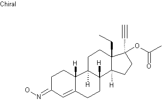
By heating a solution of 13beta-ethyl-17alpha-ethynyl-17beta-acetoxy-gon-4-en-3-one (I) and hydroxylamine hydrochloride in pyridine at 100 C.

参考文献No.701060
标题:Verfahren zur Herstellung von 3-Hydroxyimino-steroiden
作者:
来源:CH 494218; GB 1123104
合成路线图解说明:

By heating a solution of 13beta-ethyl-17alpha-ethynyl-17beta-acetoxy-gon-4-en-3-one (I) and hydroxylamine hydrochloride in pyridine at 100 C.

Drug Information Express,Drug R&D,Chemical Database,Patent Search.
Copyright © 2006-2026 Drug Future. All rights reserved.Contact Us