【药物名称】Piketoprofen, Calmatel
化学结构式(Chemical Structure):
参考文献No.41871
标题:Amide derivs. of 3-benzoyl-phenylalkanoic acids
作者:Vega Noverola, A.; Prieto Soto, J.; Spickett, R.G.W.
来源:GB 1436502
合成路线图解说明:

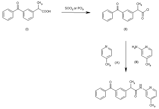
The reaction of 2-(3-benzoylphenyl)propionic acid (I) with SOCl2 or PCl3 gives the corresponding acyl chloride (II), which is then condensed with 4-methylpyridine-2-amine (III) by means of 4-methylpyridine in pyridine.

参考文献No.41913
标题:Procedimiento para la preparaci髇 de una amida de la 2-amino-4-metylpiridina
作者:Vega, A.; Prieto, J.; Moragues, J. (Fordonal SL)
来源:BE 0882711; ES 8102556; IT 1130573
合成路线图解说明:

The reaction of 2-(3-benzoylphenyl)propionic acid (I) with SOCl2 or PCl3 gives the corresponding acyl chloride (II), which is then condensed with 4-methylpyridine-2-amine (III) by means of 4-methylpyridine in pyridine.

Drug Information Express,Drug R&D,Chemical Database,Patent Search.
Copyright © 2006-2026 Drug Future. All rights reserved.Contact Us