【药物名称】Cinolazepam, OX-373, Gerodorm
化学结构式(Chemical Structure):
参考文献No.46754
标题:Novel 3-hydroxy-1,4-benzodiazepine-2-ones and process for the preparation thereof
作者:Schlager, L.H. (Gerot Pharmazeutika GmbH)
来源:AT 361492B; DE 2950235; ES 8103738; FR 2444672; US 4388313
合成路线图解说明:

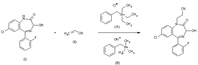
7-Chloro-3-hydroxy-5-(2'-fluorophenyl)-1,3-(dihydro-2H-1,4-benzodiazepin-2-one (I) is mixed with acrylonitrile (II), and after dropwise addition of triethylbenzylammonium chloride (A) and benzyl trimethylammonium hydroxide (B), stirring is continued for 8 hours. The crude material was recrystallized from acetonitrile.

参考文献No.154676
标题:Cinolazepam
作者:Koch, H.
来源:Drugs Fut 1982,7(2),98
合成路线图解说明:

7-Chloro-3-hydroxy-5-(2'-fluorophenyl)-1,3-(dihydro-2H-1,4-benzodiazepin-2-one (I) is mixed with acrylonitrile (II), and after dropwise addition of triethylbenzylammonium chloride (A) and benzyl trimethylammonium hydroxide (B), stirring is continued for 8 hours. The crude material was recrystallized from acetonitrile.

Drug Information Express,Drug R&D,Chemical Database,Patent Search.
Copyright © 2006-2026 Drug Future. All rights reserved.Contact Us