【药物名称】Vintriptol mesylate, OC-6020
化学结构式(Chemical Structure):
参考文献No.1408
标题:Vinblastin-23-oyl amino acid derivs
作者:Trouet, A.B.L.; Hannart, J.A.A.J.; Rao, K.S.B. (OmniChem)
来源:US 4639456
合成路线图解说明:

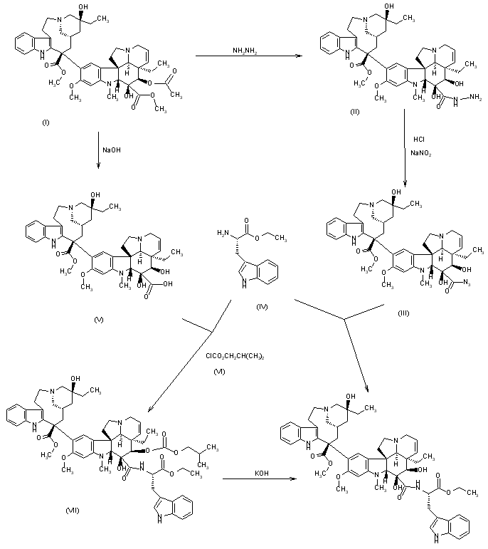
This compound can be obtained by two related ways: 1) The reaction of vinblastine (I) with anhydrous hydrazine in hot ethanol gives 4-deacetylvinblastine-23-acid hydrazide (II), which by reaction with HCl and NaNO2 in cool methanol - water is converted into the corresponding azide (III). Finally, this compound is condensed with L-tryptophan ethyl ester (IV) in dichloromethane. 2) The hydrolysis of vinblastine (I) with NaOH in refluxing ethanol gives 4-deacetylvinblastoic acid (V), which is condensed with L-tryptophan ethyl ester (IV) by means of isobutyl chloroformate (VI) and N-ethylmorpholine in DMF to afford the 4-O-(isobutoxycarbonyl) derivative (VII). Finally, this compound is partially hydrolyzed with KOH in ethanol.

参考文献No.1410
标题:7-Carboxyalkenoylamido-3-cephem-4-carboxylic acid derivs.
作者:Hamashima, Y. (Shionogi & Co. Ltd.)
来源:EP 0136721; ES 8604602; ES 8605278; ES 8700222; GB 2154580; GB 2198727; JP 1985078987; JP 1985163884; JP 1985246388; US 4634697; US 4748170
合成路线图解说明:

This compound can be obtained by two related ways: 1) The reaction of vinblastine (I) with anhydrous hydrazine in hot ethanol gives 4-deacetylvinblastine-23-acid hydrazide (II), which by reaction with HCl and NaNO2 in cool methanol - water is converted into the corresponding azide (III). Finally, this compound is condensed with L-tryptophan ethyl ester (IV) in dichloromethane. 2) The hydrolysis of vinblastine (I) with NaOH in refluxing ethanol gives 4-deacetylvinblastoic acid (V), which is condensed with L-tryptophan ethyl ester (IV) by means of isobutyl chloroformate (VI) and N-ethylmorpholine in DMF to afford the 4-O-(isobutoxycarbonyl) derivative (VII). Finally, this compound is partially hydrolyzed with KOH in ethanol.

合成路线图解说明:

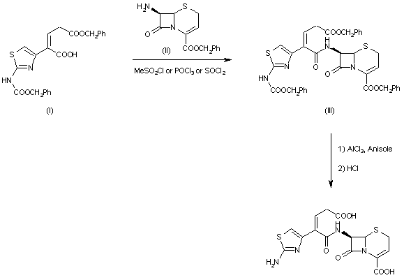
The condensation of 2-[2-(benzoyloxycarbonylamino)thiazol-4-yl]-4-(benzyloxycarbonyl)-2-butenoic acid (I) with 7beta-amino-3-cephem-4-carboxylic acid diphenylmethyl ester (II) by means of mesyl chloride, phosphorus oxychloride or thionyl chloride in basic medium and dichloromethane as solvent gives the protected derivative of the desired product (III), which is then treated with AlCl3 and anisole and acidified with diluted HCl.

合成路线图解说明:

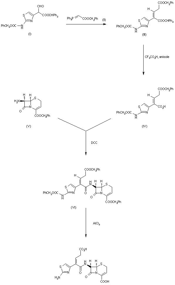
The Wittig condensation of diphenylmethyl 2-[2-(benzyloxycarbonylamino)thiazol-4 yl-2-formyl acetate with benzyloxycarbonylmethylene triphenylphosphorane (II) in toluene or dioxane gives 2-[2-(benzyloxycarbonylamino)thiazol-4-yl]-4 (benzyloxycarbonyl)-2-butenoic acid diphenylmethyl ester (III), which is hydrolyzed partiaily wth trifluoroacetic acid and anisole to the 2-butenoic acid (IV). The condensation of (IV) with 7-beta-amino-3-cephem-4-carboxylic acid benzyl ester (V) by means of dicyclohexylcarbodiimide (DCC) in dichloromethane affords the protected final product (VI), which is finally debenzylated by means of AlCl3 and anisole in methylene chloride.

参考文献No.17100
标题:N-Vinblastinoyl-23) derivs. of amino acids and peptides, their preparation and their therapeutic application
作者:Trouet, A.B.L.; Rao, K.S.B.; Hannart, J.A.A. (OmniChem)
来源:EP 0041935
合成路线图解说明:

This compound can be obtained by two related ways: 1) The reaction of vinblastine (I) with anhydrous hydrazine in hot ethanol gives 4-deacetylvinblastine-23-acid hydrazide (II), which by reaction with HCl and NaNO2 in cool methanol - water is converted into the corresponding azide (III). Finally, this compound is condensed with L-tryptophan ethyl ester (IV) in dichloromethane. 2) The hydrolysis of vinblastine (I) with NaOH in refluxing ethanol gives 4-deacetylvinblastoic acid (V), which is condensed with L-tryptophan ethyl ester (IV) by means of isobutyl chloroformate (VI) and N-ethylmorpholine in DMF to afford the 4-O-(isobutoxycarbonyl) derivative (VII). Finally, this compound is partially hydrolyzed with KOH in ethanol.

参考文献No.168965
标题:Vinblastin-23-oyl amino acid derivatives: Chemistry, physicochemical data, toxicity, and antitumor activities against P388 and L1210 leukemias
作者:Rao, K.S.P.B.; Collard, M.-P.M.; Dejonghe, J.P.C.; Atassi, G.; Hannart, J.A.; Trouet, A.
来源:J Med Chem 1985,28(8),1079
合成路线图解说明:

This compound can be obtained by two related ways: 1) The reaction of vinblastine (I) with anhydrous hydrazine in hot ethanol gives 4-deacetylvinblastine-23-acid hydrazide (II), which by reaction with HCl and NaNO2 in cool methanol - water is converted into the corresponding azide (III). Finally, this compound is condensed with L-tryptophan ethyl ester (IV) in dichloromethane. 2) The hydrolysis of vinblastine (I) with NaOH in refluxing ethanol gives 4-deacetylvinblastoic acid (V), which is condensed with L-tryptophan ethyl ester (IV) by means of isobutyl chloroformate (VI) and N-ethylmorpholine in DMF to afford the 4-O-(isobutoxycarbonyl) derivative (VII). Finally, this compound is partially hydrolyzed with KOH in ethanol.

参考文献No.178383
标题:Vintriptol Mesylate
作者:Casta馿r, J.; Prous, J.
来源:Drugs Fut 1992,17(7),569
合成路线图解说明:

This compound can be obtained by two related ways: 1) The reaction of vinblastine (I) with anhydrous hydrazine in hot ethanol gives 4-deacetylvinblastine-23-acid hydrazide (II), which by reaction with HCl and NaNO2 in cool methanol - water is converted into the corresponding azide (III). Finally, this compound is condensed with L-tryptophan ethyl ester (IV) in dichloromethane. 2) The hydrolysis of vinblastine (I) with NaOH in refluxing ethanol gives 4-deacetylvinblastoic acid (V), which is condensed with L-tryptophan ethyl ester (IV) by means of isobutyl chloroformate (VI) and N-ethylmorpholine in DMF to afford the 4-O-(isobutoxycarbonyl) derivative (VII). Finally, this compound is partially hydrolyzed with KOH in ethanol.

Drug Information Express,Drug R&D,Chemical Database,Patent Search.
Copyright © 2006-2026 Drug Future. All rights reserved.Contact Us