【药物名称】Nifurzide, Ricridene
化学结构式(Chemical Structure):
参考文献No.46975
标题:Novel substituted (nitrofurylacrylidene) hydrazines with antibacterial properties
作者:Szarvasi, E.; Fontaine, L. (Lipha Sant?
来源:DE 2200375; FR 2121372; GB 1367203; JP 56063978; US 3847911; US 3914379
合成路线图解说明:

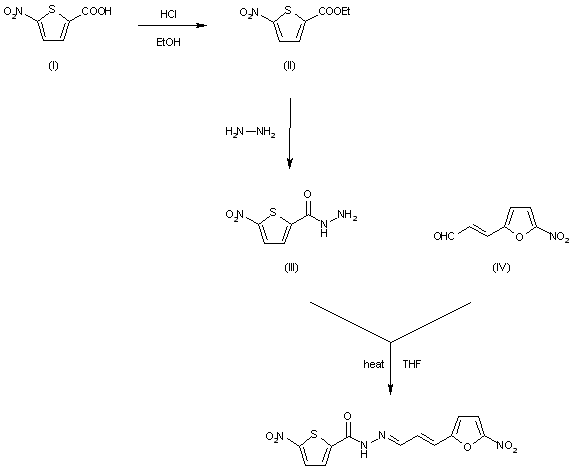
The esterification of 5-nitro-2-thiophenecarboxylic acid (I) with ethanol and dry HCl in the usual way gives the corresponding ethyl ester (II), which by reaction with hydrazine is converted into 5-nitro-2-thenoylhydrazide (III). Finally, this compound is condensed with 5-nitro-2-furylacrolein (IV) in refluxing THF.

参考文献No.154666
标题:Nifurzide
作者:Casta馿r, J.; Serradell, M.N.; Blancafort, P.; Neuman, M.
来源:Drugs Fut 1981,6(6),358
合成路线图解说明:

The esterification of 5-nitro-2-thiophenecarboxylic acid (I) with ethanol and dry HCl in the usual way gives the corresponding ethyl ester (II), which by reaction with hydrazine is converted into 5-nitro-2-thenoylhydrazide (III). Finally, this compound is condensed with 5-nitro-2-furylacrolein (IV) in refluxing THF.

参考文献No.607779
标题:Antimicrobials. New nitrofuran derivatives
作者:Szarvasi, E.; Fontaine, L.; Betbeder-Matibet, A.
来源:J Med Chem 1973,16(3),281-287
合成路线图解说明:

The esterification of 5-nitro-2-thiophenecarboxylic acid (I) with ethanol and dry HCl in the usual way gives the corresponding ethyl ester (II), which by reaction with hydrazine is converted into 5-nitro-2-thenoylhydrazide (III). Finally, this compound is condensed with 5-nitro-2-furylacrolein (IV) in refluxing THF.

Drug Information Express,Drug R&D,Chemical Database,Patent Search.
Copyright © 2006-2026 Drug Future. All rights reserved.Contact Us