【药物名称】Eterobarb, RMI-16238, DMNP, EX 12-095, Antilon
化学结构式(Chemical Structure):
参考文献No.47820
标题:Krampfl鰏ende Verbindungen
作者:Samour, C.M.; et al. (The Kendall Company)
来源:DE 1939787; ES 370220; FR 2015091; GB 1276386
合成路线图解说明:

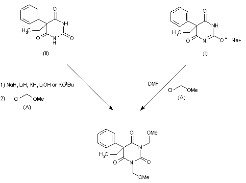
By reaction of sodium phenobarbital (I) with 2 mols of methyl chloromethyl ether (A) in DMF. It can also be obtained by reaction of phenobarbital (II), 2 mols of NaH, LiH, KH, LiOH or t-BuOK and 2 moles of methyl chloromethyl ether (A) in DMF.

参考文献No.47821
标题:Verfahren zur Herstellung von 5,5-disubstituierten N,N'-Dialkyloxyalkyl- oder N,N'-Dibenzyloxyalkylverbindugen der Barbitus鋟re
作者:Vida, J.A. (The Kendall Company)
来源:DE 2005108; FR 2033950; GB 1276387
合成路线图解说明:

By reaction of sodium phenobarbital (I) with 2 mols of methyl chloromethyl ether (A) in DMF. It can also be obtained by reaction of phenobarbital (II), 2 mols of NaH, LiH, KH, LiOH or t-BuOK and 2 moles of methyl chloromethyl ether (A) in DMF.

参考文献No.154642
标题:Eterobarb
作者:Casta馿r, J.; Playle, A.C.
来源:Drugs Fut 1976,1(6),286
合成路线图解说明:

By reaction of sodium phenobarbital (I) with 2 mols of methyl chloromethyl ether (A) in DMF. It can also be obtained by reaction of phenobarbital (II), 2 mols of NaH, LiH, KH, LiOH or t-BuOK and 2 moles of methyl chloromethyl ether (A) in DMF.

参考文献No.607644
标题:Anticonvulsants.1. Alkoxymethyl derivatives of barbiturates and diphenylhydantoin
作者:Samour, C.M.; et al.
来源:J Med Chem 1971,14(3),187
合成路线图解说明:

By reaction of sodium phenobarbital (I) with 2 mols of methyl chloromethyl ether (A) in DMF. It can also be obtained by reaction of phenobarbital (II), 2 mols of NaH, LiH, KH, LiOH or t-BuOK and 2 moles of methyl chloromethyl ether (A) in DMF.

Drug Information Express,Drug R&D,Chemical Database,Patent Search.
Copyright © 2006-2026 Drug Future. All rights reserved.Contact Us