【药物名称】Ticlopidine hydrochloride, 4-C-32, 53-32C, Panaldine, Tiklyd, Tiklid, Ipaton, Ticlodone, Ticlodix, Ticlid
化学结构式(Chemical Structure):
参考文献No.154632
标题:Ticlopidine
作者:Casta馿r, J.; Arrigoni-Martelli, E.
来源:Drugs Fut 1976,1(4),190
合成路线图解说明:

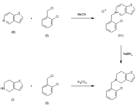
By condensation of 4,5,6,7-tetrahydrothieno[3,2-c]pyridine (I) and 2-chlorobenzyl chloride (II) with K2CO3 in refluxing ethanol or by reaction of thieno[3,2-c]pyridine (III) with 2-chlorobenzyl chloride (II) in refluxing acetonitrile to give the thienopyridinium salt (IV), which is then reduced with NaBH4 in ethanol-water.

参考文献No.800284
标题:Synth鑣e d thi閚opyridines et de furopyridines d'int閞阾 th閞apeutique
作者:Eloy, F.; Maffrand, J.P.
来源:Eur J Med Chem 1974,9483
合成路线图解说明:

By condensation of 4,5,6,7-tetrahydrothieno[3,2-c]pyridine (I) and 2-chlorobenzyl chloride (II) with K2CO3 in refluxing ethanol or by reaction of thieno[3,2-c]pyridine (III) with 2-chlorobenzyl chloride (II) in refluxing acetonitrile to give the thienopyridinium salt (IV), which is then reduced with NaBH4 in ethanol-water.

Drug Information Express,Drug R&D,Chemical Database,Patent Search.
Copyright © 2006-2026 Drug Future. All rights reserved.Contact Us