【药物名称】Etoposide, VP-16, VP-16-213, NSC-141540, EPEG, Etopophos, Lastet, Etosid, Vepeside, Etopol, Vepesid
化学结构式(Chemical Structure):
参考文献No.80290
标题:Etoposide
作者:Cabanillas, F.
来源:Drugs Fut 1979,4(4),257
合成路线图解说明:

By reaction of 4,6-O-ethylidene-2,3-di-O-acetyl-beta-D-glucopyranose (I) and 4'-benzyloxycarbonyl-4'-demethyl-epipodophyllotoxin (II) in the presence of boron trifluoride etherate to give the compound (III), which is treated with Zn(OAc)2 and NaOAc followed by reduction with Pd-C.

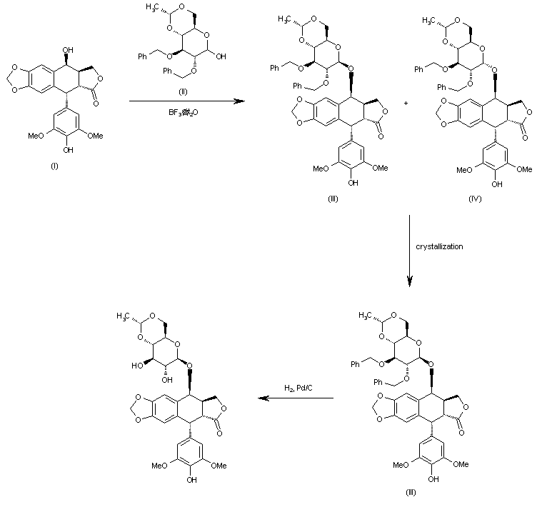
参考文献No.598864
标题:A crystallization-induced steroselective glycosidation reaction in the synthesis of the anticancer drug etoposide
作者:Silverberg, L.J.; Kelly, S.; Vemishetti, P.; Vipond, D.H.; Gibson, F.S.; Harrison, B.; Spector, R.; Dillon, J.L.
来源:Org Lett 2000,2(21),3281
合成路线图解说明:

The condensation of dibenzyl-sugar (II) with 4'-demethyl-epipodophyllotoxin (I) by means of BF3稥t2O in acetonitrile gives a mixture of the alpha and beta coupled products (IV) + (III), which by crystallization in dichloromethane/methanol afforded pure diastereomer beta (III). Finally this compound is debenzylated by hydrogenolysis with H2 over Pd/C in THF.

参考文献No.700966
标题:Verhafren zur Herstellung von Glucosiden
作者:Kuhn, M.; et al.
来源:AT 303270B; AT 319971B; CH 514578; NL 6901619
合成路线图解说明:

By reaction of 4,6-O-ethylidene-2,3-di-O-acetyl-beta-D-glucopyranose (I) and 4'-benzyloxycarbonyl-4'-demethyl-epipodophyllotoxin (II) in the presence of boron trifluoride etherate to give the compound (III), which is treated with Zn(OAc)2 and NaOAc followed by reduction with Pd-C.

Drug Information Express,Drug R&D,Chemical Database,Patent Search.
Copyright © 2006-2026 Drug Future. All rights reserved.Contact Us