【药物名称】TMB-8
化学结构式(Chemical Structure):
参考文献No.80292
标题:TMB-8
作者:Murer, E.H.
来源:Drugs Fut 1983,8(11),940
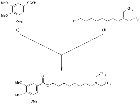
合成路线图解说明:

TMBN's have been synthesized by the method of Sastry and Lasslo by dissolving 0.05 moles of 3,4,5-trimethoxybenzoic acid (I) in 300 ml of dry benzene, to which 100 ml benzene containing 0.05 moles n-(N,N-dimethylamino) (CH2)nOH (II) was added dropwise with constant stirring. The temperature was maintained at 29-34 C. The reaction mixture was agitated for 2 additional hours at room temperature, then refluxed for 2 hours on steam bath. The product was recrystallized from benzene or from a mixture of ether and benzene. TMB-8 is considered more difficult to synthesize than TMB-6.

参考文献No.800366
标题:Aliphatic reserpine analogs
作者:Lasslo, A.; Sastry, B.V.R.
来源:J Org Chem 1958,231577-78
合成路线图解说明:

TMBN's have been synthesized by the method of Sastry and Lasslo by dissolving 0.05 moles of 3,4,5-trimethoxybenzoic acid (I) in 300 ml of dry benzene, to which 100 ml benzene containing 0.05 moles n-(N,N-dimethylamino) (CH2)nOH (II) was added dropwise with constant stirring. The temperature was maintained at 29-34 C. The reaction mixture was agitated for 2 additional hours at room temperature, then refluxed for 2 hours on steam bath. The product was recrystallized from benzene or from a mixture of ether and benzene. TMB-8 is considered more difficult to synthesize than TMB-6.

Drug Information Express,Drug R&D,Chemical Database,Patent Search.
Copyright © 2006-2026 Drug Future. All rights reserved.Contact Us