【药物名称】Tianeptine sodium, S-1574, Stablon
化学结构式(Chemical Structure):
参考文献No.79479
标题:S-1574
作者:Casta馿r, J.; Neuman, M.; Blancafort, P.; Serradell, M.N.
来源:Drugs Fut 1979,4(7),522
合成路线图解说明:

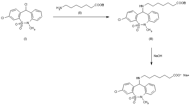
The condensation of 3,11-dichloro-6,11-dihydro-6-methyldibenzo[c,f][1,2]thiazepine S,S-dioxide (I) with ethyl 7-aminoheptanoate (II) in nitromethane gives ethyl 7-[(3-chloro-6,11-dihydro-6-methyldibenzo[c,f][1,2]thiazepin-11-yl)amino]heptanoate S,S-dioxide (III), which is then hydrolyzed with NaOH in refluxing ethanol.

参考文献No.700980
标题:Tricyclic compounds
作者:Malen, C.; et al.
来源:US 3758528
合成路线图解说明:

The condensation of 3,11-dichloro-6,11-dihydro-6-methyldibenzo[c,f][1,2]thiazepine S,S-dioxide (I) with ethyl 7-aminoheptanoate (II) in nitromethane gives ethyl 7-[(3-chloro-6,11-dihydro-6-methyldibenzo[c,f][1,2]thiazepin-11-yl)amino]heptanoate S,S-dioxide (III), which is then hydrolyzed with NaOH in refluxing ethanol.

Drug Information Express,Drug R&D,Chemical Database,Patent Search.
Copyright © 2006-2026 Drug Future. All rights reserved.Contact Us