【药物名称】MR-827, YS-035
化学结构式(Chemical Structure):
参考文献No.46471
标题:Compounds having calcium blocking activity
作者:Quadro, G.; Cahn, J. (SIR International SA; Yason Srl)
来源:BE 0897244; CA 431900; CH 3684839; DE 33247277; ES 524353; GB 2216213; IT 20838; IT 22339; JP 83125363; NL 832451; ZA 834975
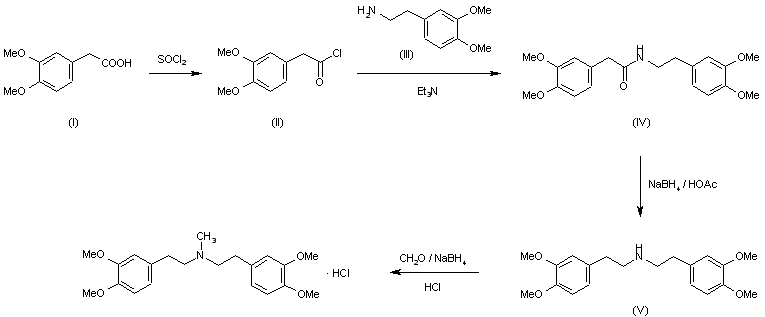
合成路线图解说明:

3,4-Dimethoxyphenylacetic acid (I) is dissotved in anhydrous chloroform free of ethanol and thionyl chloride is added. When the reaction is complete (4 h) and the solvent evaporated, the oily residue is distilled under reduced presaure (10 mm) and the fraction distilled at 170-2 C is collected. The pure 3,4-dimethoxyphenylacetic acid chloride is thus obtained with 81% yield (II). 2-(3,4-Dimethoxyphenyl)ethylamine is dissolved in anhydrous chloroform and anhydrous triethylamine is added to the solution. 3,4-Dimethoxyphenylacetyl chloride is added to the cooled solution, refluxed for 8 h, washed with diluted HCl, with water, the organic phase is dried over anhydrous sodium sulfate and the solvent is evaporated under reduced pressure. The final solid is recrystallized from absolute ethanol. The pure N-[2-(3,4-dimethoxyphenyl)ethyl]-3,4-dimethoxyphenylacetamide is obtained with a yield of 84% (III). The amide is reduced according to the method of Umino et al. (Tetrahedron Lett 1976; 763). The N-bis(3,4-dimethoxyphenylethyl)amine obtained (IV) is then dissolved in methanol and CH2O is added. The mixture is boiled under stirring, cooled, and NaBH4 is added in small portions. After evaporation under reduced pressure the residue is dissolved in water acidified with hydrochloric acid, cooled and made definitely alkaline with 4N sodium hydroxide. The alkaline solution is extracted with dichloromethane, the organic phase is isotated, washed and dried over Na2SO4. After filtration the solvent is evaporated under reduced pressure. The residue is crystallized twice from n-hexane, thus obtaining a pure base with a 62% yield. N,N-Bis[2-(3,4-dimethoxyphenyl)ethyl]methylamine hydrochloride (YS-035) is then prepared.

参考文献No.79485
标题:YS-035
作者:Quadro, G.
来源:Drugs Fut 1985,10(12),1000
合成路线图解说明:

3,4-Dimethoxyphenylacetic acid (I) is dissotved in anhydrous chloroform free of ethanol and thionyl chloride is added. When the reaction is complete (4 h) and the solvent evaporated, the oily residue is distilled under reduced presaure (10 mm) and the fraction distilled at 170-2 C is collected. The pure 3,4-dimethoxyphenylacetic acid chloride is thus obtained with 81% yield (II). 2-(3,4-Dimethoxyphenyl)ethylamine is dissolved in anhydrous chloroform and anhydrous triethylamine is added to the solution. 3,4-Dimethoxyphenylacetyl chloride is added to the cooled solution, refluxed for 8 h, washed with diluted HCl, with water, the organic phase is dried over anhydrous sodium sulfate and the solvent is evaporated under reduced pressure. The final solid is recrystallized from absolute ethanol. The pure N-[2-(3,4-dimethoxyphenyl)ethyl]-3,4-dimethoxyphenylacetamide is obtained with a yield of 84% (III). The amide is reduced according to the method of Umino et al. (Tetrahedron Lett 1976; 763). The N-bis(3,4-dimethoxyphenylethyl)amine obtained (IV) is then dissolved in methanol and CH2O is added. The mixture is boiled under stirring, cooled, and NaBH4 is added in small portions. After evaporation under reduced pressure the residue is dissolved in water acidified with hydrochloric acid, cooled and made definitely alkaline with 4N sodium hydroxide. The alkaline solution is extracted with dichloromethane, the organic phase is isotated, washed and dried over Na2SO4. After filtration the solvent is evaporated under reduced pressure. The residue is crystallized twice from n-hexane, thus obtaining a pure base with a 62% yield. N,N-Bis[2-(3,4-dimethoxyphenyl)ethyl]methylamine hydrochloride (YS-035) is then prepared.

Drug Information Express,Drug R&D,Chemical Database,Patent Search.
Copyright © 2006-2026 Drug Future. All rights reserved.Contact Us