【药物名称】Reboxetine mesilate, PNU-155950E, FCE-20124, Vestra, Norebox, Edronax
化学结构式(Chemical Structure):
参考文献No.46058
标题:Substituted morpholine derivatives and compositions
作者:Torre, A.D.; Carniel, G.; Rossi, A.; Melloni, P. (Pharmacia Corp.)
来源:DE 2901032; FR 2430412; FR 2442839; GB 2014981; JP 54148739; US 4229449
合成路线图解说明:

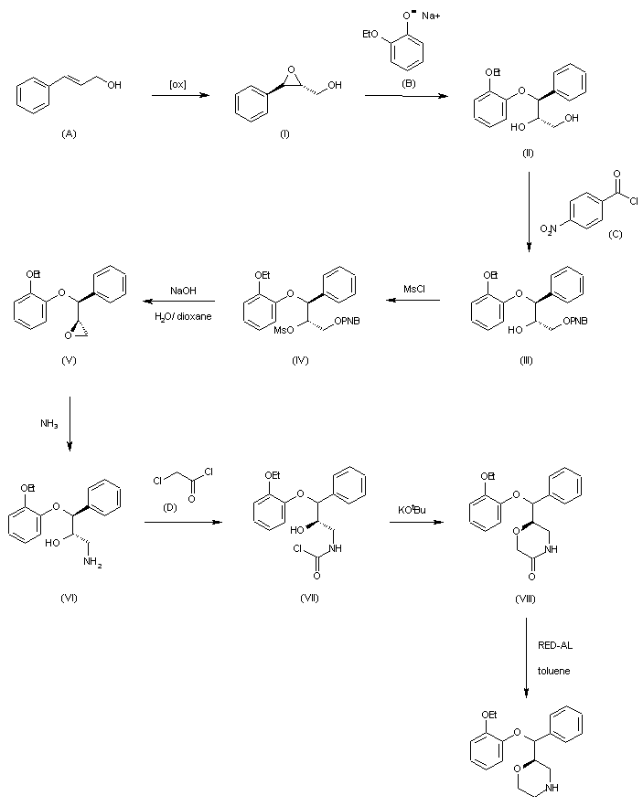
Epoxidation of trans-cinnamyl alcohol (A) gives compound (I), which in turn is reacted with sodium 2-ethoxyphenate (B) to give the diol (II). The primary alcoholic group of (II) is reacted with p-nitrobenzoyl chloride to obtain (III), and (IV) is prepared by treatment of (III) with methanesulfonyl chloride. By treatment of (IV) with sodium hydroxide in an aqueous/dioxane solution the epoxide (V) is obtained in high yield, and this reaction causes inversion of configuration at C-2 carbon atom. Treatment of (V) with aqueous methanolic ammonia gives (VI), which in turn is acylated to (VII) with chloroacetyl chloride and cyclized to morpholone (VIII) with potassium tert-butoxide. The reduction to the final compound FCE-20124 is performed with [sodium bis(2-methoxyethoxy)aluminum hydride] (RED-AL) in toluene.

参考文献No.77506
标题:FCE-20124
作者:Riva, F.
来源:Drugs Fut 1985,10(11),905
合成路线图解说明:

Epoxidation of trans-cinnamyl alcohol (A) gives compound (I), which in turn is reacted with sodium 2-ethoxyphenate (B) to give the diol (II). The primary alcoholic group of (II) is reacted with p-nitrobenzoyl chloride to obtain (III), and (IV) is prepared by treatment of (III) with methanesulfonyl chloride. By treatment of (IV) with sodium hydroxide in an aqueous/dioxane solution the epoxide (V) is obtained in high yield, and this reaction causes inversion of configuration at C-2 carbon atom. Treatment of (V) with aqueous methanolic ammonia gives (VI), which in turn is acylated to (VII) with chloroacetyl chloride and cyclized to morpholone (VIII) with potassium tert-butoxide. The reduction to the final compound FCE-20124 is performed with [sodium bis(2-methoxyethoxy)aluminum hydride] (RED-AL) in toluene.

参考文献No.800052
标题:Configurantional studies on 2[gamma-(2-ethoxyphenoxy)benzyl]morpholine FCE-20124
作者:Lazzari, E.; Meroni, M.; Mazzini, G.; Melloni, P.; Della Torre, A.
来源:Tetrahedron 1985,41(7),1393
合成路线图解说明:

Epoxidation of trans-cinnamyl alcohol (A) gives compound (I), which in turn is reacted with sodium 2-ethoxyphenate (B) to give the diol (II). The primary alcoholic group of (II) is reacted with p-nitrobenzoyl chloride to obtain (III), and (IV) is prepared by treatment of (III) with methanesulfonyl chloride. By treatment of (IV) with sodium hydroxide in an aqueous/dioxane solution the epoxide (V) is obtained in high yield, and this reaction causes inversion of configuration at C-2 carbon atom. Treatment of (V) with aqueous methanolic ammonia gives (VI), which in turn is acylated to (VII) with chloroacetyl chloride and cyclized to morpholone (VIII) with potassium tert-butoxide. The reduction to the final compound FCE-20124 is performed with [sodium bis(2-methoxyethoxy)aluminum hydride] (RED-AL) in toluene.

Drug Information Express,Drug R&D,Chemical Database,Patent Search.
Copyright © 2006-2026 Drug Future. All rights reserved.Contact Us