【药物名称】NSC-350602, PHIC
化学结构式(Chemical Structure):
参考文献No.77504
标题:PHIC
作者:Chang, P.
来源:Drugs Fut 1985,10(10),827
合成路线图解说明:

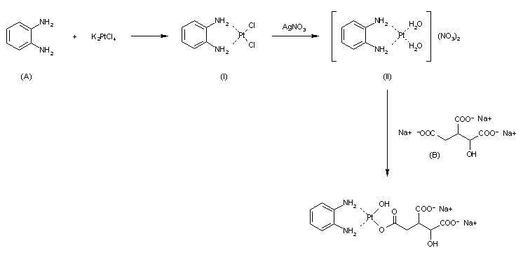
PHIC is prepared from the diaquo derivative cis-[Pt(diaminocyclohexane)(H2O)2](NO3)2 (II), which is obtained by addition of a stoichiometric amount of silver nitrato to cis-[PtCl2(diaminocyclohexane)] (I). Then isocitrate trisodium salt is added to the diaquo species (II) (1:1), and the mixtures heated to 60 C in the dark for 20 h. The yellow solution is concentrated. then treated with cold ethanol acetona (1:1) to give white PHIC precipitate. After the usual workup, PHIC is obtained (85%). The binding sites of the isocitrate ion to the platinum: diamino cyclohexane moiety have not been characterized.

参考文献No.604649
标题:Pharmacological and preclinical toxicological studies of 1,2-diaminocyclohexane(isocitrato)platinum (II)
作者:Macquet, J.P.; Cros, S.; Armand, J.P.
来源:Cancer Res 1984,44(9),3736
合成路线图解说明:

PHIC is prepared from the diaquo derivative cis-[Pt(diaminocyclohexane)(H2O)2](NO3)2 (II), which is obtained by addition of a stoichiometric amount of silver nitrato to cis-[PtCl2(diaminocyclohexane)] (I). Then isocitrate trisodium salt is added to the diaquo species (II) (1:1), and the mixtures heated to 60 C in the dark for 20 h. The yellow solution is concentrated. then treated with cold ethanol acetona (1:1) to give white PHIC precipitate. After the usual workup, PHIC is obtained (85%). The binding sites of the isocitrate ion to the platinum: diamino cyclohexane moiety have not been characterized.

参考文献No.800041
标题:New platinum complexes with anti-tumor activity
作者:Ross, W.C.J.; Khokkar, A.R.; Connors, T.A.; Jones, M.; Braddock, P.D.; Tobe, M.L.
来源:Chem Biol Interact 1972,5415-424
合成路线图解说明:

PHIC is prepared from the diaquo derivative cis-[Pt(diaminocyclohexane)(H2O)2](NO3)2 (II), which is obtained by addition of a stoichiometric amount of silver nitrato to cis-[PtCl2(diaminocyclohexane)] (I). Then isocitrate trisodium salt is added to the diaquo species (II) (1:1), and the mixtures heated to 60 C in the dark for 20 h. The yellow solution is concentrated. then treated with cold ethanol acetona (1:1) to give white PHIC precipitate. After the usual workup, PHIC is obtained (85%). The binding sites of the isocitrate ion to the platinum: diamino cyclohexane moiety have not been characterized.

参考文献No.800042
标题:Sulfato 1,2-diaminocyclohexane platinum (II): A potencial new antitumor agent
作者:Speer, R.J.; Zapata, A.; Hill, J.M.; Stewart, D.P.; Ridgway, H.; Hall, L.M.
来源:J Clin Hematol Oncol 1977,7210-219
合成路线图解说明:

PHIC is prepared from the diaquo derivative cis-[Pt(diaminocyclohexane)(H2O)2](NO3)2 (II), which is obtained by addition of a stoichiometric amount of silver nitrato to cis-[PtCl2(diaminocyclohexane)] (I). Then isocitrate trisodium salt is added to the diaquo species (II) (1:1), and the mixtures heated to 60 C in the dark for 20 h. The yellow solution is concentrated. then treated with cold ethanol acetona (1:1) to give white PHIC precipitate. After the usual workup, PHIC is obtained (85%). The binding sites of the isocitrate ion to the platinum: diamino cyclohexane moiety have not been characterized.

Drug Information Express,Drug R&D,Chemical Database,Patent Search.
Copyright © 2006-2026 Drug Future. All rights reserved.Contact Us