【药物名称】Atracurium besilate, Atracurium besylate, BW-33A, Nimbex, Tracrium
化学结构式(Chemical Structure):
参考文献No.46998
标题:Quarternary ammonium compounds
作者:Dewar, G.H.; Dhar, N.C.; Sternlake, J.B.; Urwin, R.J.; Waigh, R.D. (Glaxo Wellcome Inc.)
来源:DE 2655883; FR 2334359; JP 52077069; US 4179507
合成路线图解说明:

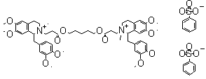
The reaction of acryloyl chloride (I) with pentane-1,5-diol (II) by means of triethylamine and pyrogalol in hot benzene gives 1,5-pentamethylene diacrylate (III), which is condensed with tetrahydropapaverine (IV) in refluxing benzene to afford N,N'-4,10-dioxa-3,11-dioxotridecylene-1,13-bis(tetrahydropapaverine) (V). Finally, this compound is quaternized by treatment with methyl benzenesulfonate in acetonitrile.

参考文献No.77488
标题:Atracurium Besilate
作者:Serradell, M.N.; Blancafort, P.; Casta馿r, J.; Hillier, K.
来源:Drugs Fut 1980,5(11),541
合成路线图解说明:

The reaction of acryloyl chloride (I) with pentane-1,5-diol (II) by means of triethylamine and pyrogalol in hot benzene gives 1,5-pentamethylene diacrylate (III), which is condensed with tetrahydropapaverine (IV) in refluxing benzene to afford N,N'-4,10-dioxa-3,11-dioxotridecylene-1,13-bis(tetrahydropapaverine) (V). Finally, this compound is quaternized by treatment with methyl benzenesulfonate in acetonitrile.

Drug Information Express,Drug R&D,Chemical Database,Patent Search.
Copyright © 2006-2026 Drug Future. All rights reserved.Contact Us