【药物名称】710723-S
化学结构式(Chemical Structure):
参考文献No.41903
标题:Meta-sulfonamido-benzamides
作者:Masaru, O.; Hiroshi, M. (Shionogi & Co. Ltd.)
来源:DE 2803651; ES 466366; FR 2378758; GB 1557019; US 4328155; US 4328344; US 4330472; US 4350635; US 4351770; US 44313663
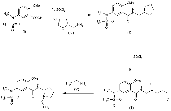
合成路线图解说明:

2-Methoxy-5-(N-methylmethanesulfonamido)-N-tetrahydrofurfurylbenzamide (II), which is prepared from (I) and tetrahydrofurfurylamine, is treated with SOCl2 in dichloroethane to give the dichloro compound (III). Treatment of (III) with EtNH2 gives title compound.

参考文献No.77477
标题:710723-S
作者:Ogata, M.
来源:Drugs Fut 1985,10(9),758
合成路线图解说明:

5-(N-Methylmethanesulfonamido)benzoic acid (I) is treated with thionyl chloride and 2-amino-methyl-1-ethyl-pyrrolidine to give title compound.

合成路线图解说明:

2-Methoxy-5-(N-methylmethanesulfonamido)-N-tetrahydrofurfurylbenzamide (II), which is prepared from (I) and tetrahydrofurfurylamine, is treated with SOCl2 in dichloroethane to give the dichloro compound (III). Treatment of (III) with EtNH2 gives title compound.

参考文献No.555593
标题:Synthesis and neuroleptic activity of N-[(1-ethyl-2-pyrrolidinyl)methyl]-2-methoxy-5-sulfonamidobenzamide s
作者:Ogata, M.; Matsumoto, H.; Kida, S.; Shiomi, T.; Eigyo, M.; Hirose, K.
来源:J Med Chem 1984,27(9),1137
合成路线图解说明:

5-(N-Methylmethanesulfonamido)benzoic acid (I) is treated with thionyl chloride and 2-amino-methyl-1-ethyl-pyrrolidine to give title compound.

Drug Information Express,Drug R&D,Chemical Database,Patent Search.
Copyright © 2006-2026 Drug Future. All rights reserved.Contact Us