【药物名称】MOSE
化学结构式(Chemical Structure):
参考文献No.41897
标题:13,14-Dehydro-11-deoxy-prostaglandins and process for their preparation
作者:Gandolfi, C.; Pellegata, R. Fumagalli, A. (Pharmacia & Upjohn SpA)
来源:US 4293705
合成路线图解说明:

Selenious acid (H2SeO3) is successfully reduced by sodium borohydride (in excess) to form NaHSe (II). After reacting with beta-morpholinoethyl chloride (III) the bis(beta-morpholinoethyl)selenide is the only product and no diselenide is isolated. The unreacted NaHSe is reoxidized during the workup to insoluble Sex, which is easily separated by filtration. The product is separated from unreduced H2SeO3 by chloroform extraction. This procedure is also useful for the preparation radioactive MOSE using Se-75 (t1/2 = 120 days). The purity of the extracted material is 95%.

合成路线图解说明:

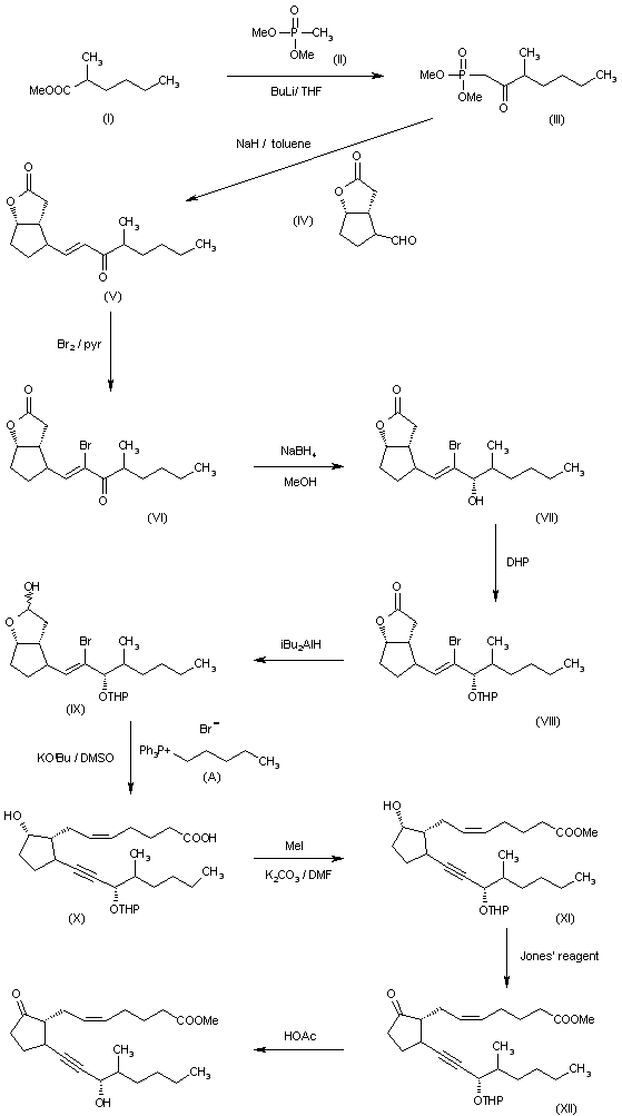
The condensation of (+)-2S-2-methylhexanoate (I) with dimethyl methylphosphonate (II) by means of butyllithium in THF gives dimethyl-2-oxo-3S-methylheptylphosphonate (III). A Wittig reaction of (III) with the gamma-Iactone (IV) by means of sodium hydride in dry toluene yields the keto lactone (V), which is brominated with pyridinium hydrobromide perbromide in pyridine to give the gamma-bromoketo Iactone (VI). Compound (VI) is reduced with sodium borohydride in methanol to yield the bromohydroxy lactone (VII). The hydroxy group of compound (VII) is protected with dihydropyrane giving (VIII), which is reduced with diisobutylaluminum hydride in toluene to yield the hemiacetal (IX). The alpha-chain is introduced by a Wittig condensation of (IX), with the ylide obtained by reacting the 4-carboxybutyltriphenylphosphinium bromide with potassium tert-butoxide in DMSO, and at the same time dehydrohalogenation occurs and the acetylenic bond is formed to yield (5Z,9S,15S,16S)-9,15-dihydroxy-16-methyl prost-5-en-13-ynoic acid-15-tetrahydropyranyloxy (X). Sequential esterification of (XI) with methyliodide and potassium carbonate in DMF and oxidation with Jones' reagent in acetone gives the 9-oxoprostaglandin (XII), which is deprotected with acetic acid to afford the final compound.

参考文献No.77476
标题:Mose
作者:Kung, H.F.; Kostyniak, P.J.
来源:Drugs Fut 1985,10(9),748
合成路线图解说明:

Selenious acid (H2SeO3) is successfully reduced by sodium borohydride (in excess) to form NaHSe (II). After reacting with beta-morpholinoethyl chloride (III) the bis(beta-morpholinoethyl)selenide is the only product and no diselenide is isolated. The unreacted NaHSe is reoxidized during the workup to insoluble Sex, which is easily separated by filtration. The product is separated from unreduced H2SeO3 by chloroform extraction. This procedure is also useful for the preparation radioactive MOSE using Se-75 (t1/2 = 120 days). The purity of the extracted material is 95%.

Drug Information Express,Drug R&D,Chemical Database,Patent Search.
Copyright © 2006-2026 Drug Future. All rights reserved.Contact Us